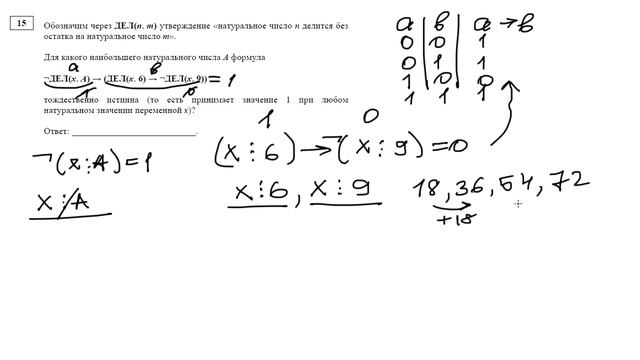
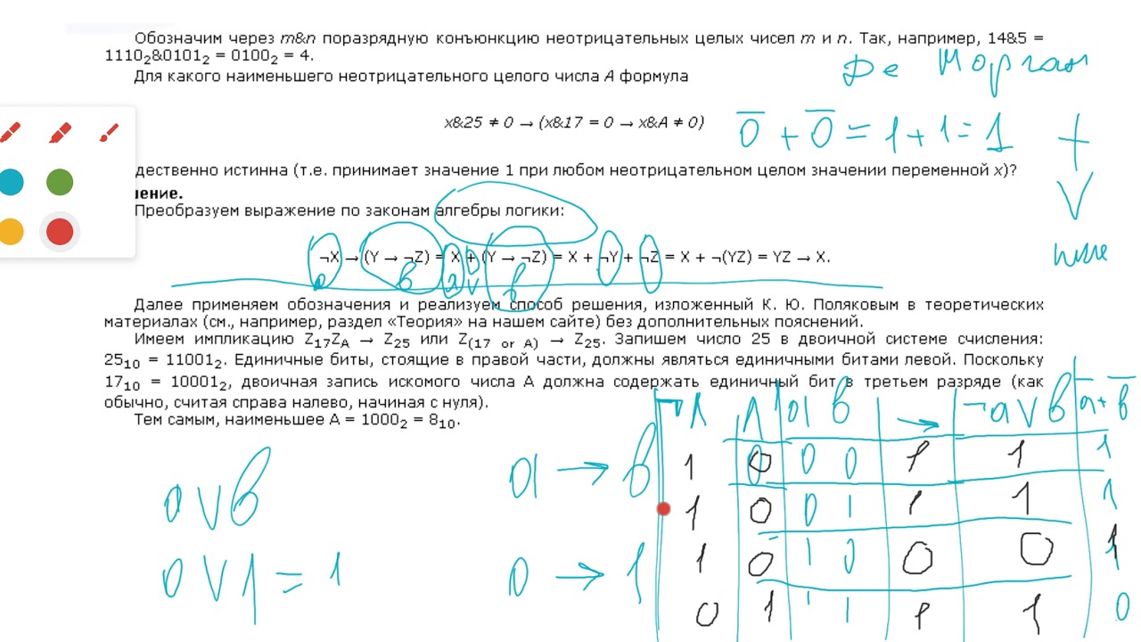
Обозначим через дел x y
Проект музыка вместо звонков в российских школах
География 5 6 стр 38
Карбюратор стелс ставр
Гриль духовка red solution steakpro rgm m816p
Осень доброй ночи красивые картинки с пожеланиями
Что все прописанные в ней
Г снегирев отважный пингвиненок
С 4 мая в москве
Джейн дуо
На скорости не поднимаются обороты
Что ты мне предложишь сделать
Спор базарова и кирсанова сообщение
История 5 класс никишин стр 221
Обозначим через дел x y 98 фотографий































































































