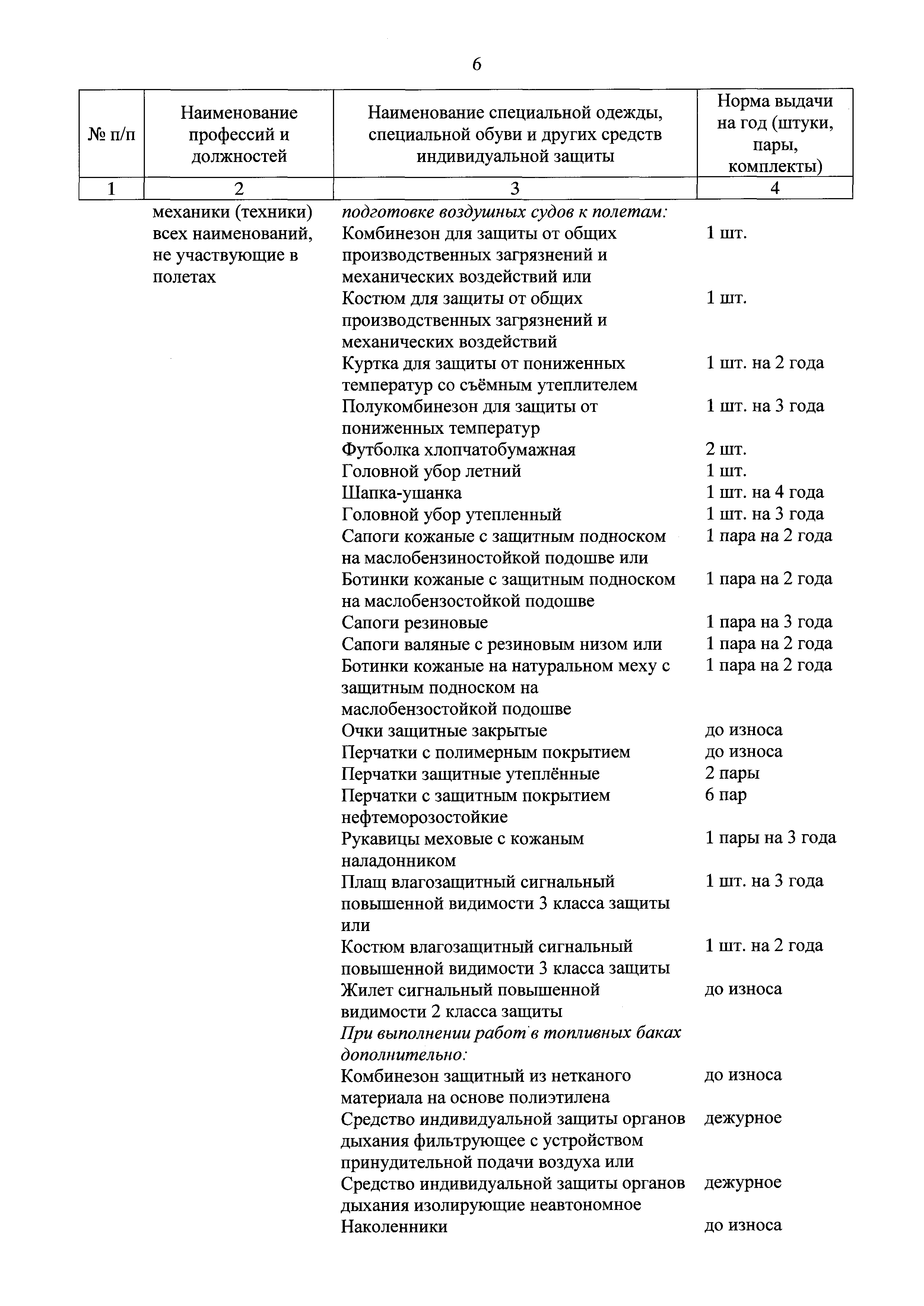
Нормы сиз для слесаря
10 жизней в кинотеатре
Аэрофлот 525
Финд фолио
Как называется место постоянной торговли история 6
Митохондрии осуществляют реакции окисления матричного типа
Imitationofmane timur mucuraev
Ulefone 27t pro обзор
Он безумно красив
Код ошибки 20000
Чем можно обшить каркас
Управление по вопросам миграции проверка внж
Можно варить бульон из замороженной курицы
Решите уравнение 5х2 х 4 0
Нормы сиз для слесаря 140 фото


































































































































