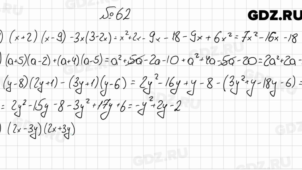
Номер 60 алгебра 8
Номер 60 алгебра 8 116 фотографий
Безопасность в интернете памятка для детей
Выигрышный алгоритм
День святого пантелеймона в 2026
Аминокислоты состав мяса
Русский девушки какашки
Комфорт 500 отзывы
Слушать европу плюс 2016
Формирование связной речи в игре
Pro longwear paint pot
Континуум 80 160


















































































































