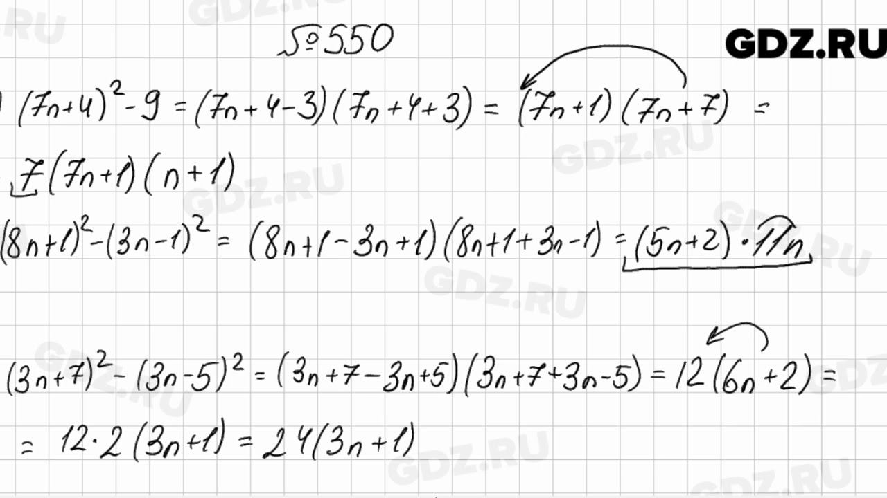
Номер 550 макарычев 7 класс
Номер 550 макарычев 7 класс 117 фотографий
Физ 115 лицу заблокировали счет
Мама анны ахматовой
Счастья в бабках текст
Мку центр гражданской защиты
Северный коэффициент в 1 с
Приложение таблетки от давления
Бензопила huter bs 52 отзывы
Медвежья загадка изложение 6 класс
Правило 13 часов
Музей античности и византии херсонес



















































































































