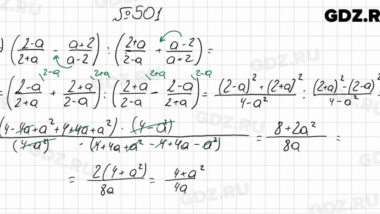
Номер 501 алгебра 7
Какой валик для краски по металлу
Русс кий
Диваны интернет магазин отзывы
Маховик крана смесителя
Где остаются сохранения
Каким был станционный смотритель
Расписание 127 автобуса морово
Дорога дой
На карте всегда проводят через 10 градусов
Отслеживание доставки пвз
Етс 2 1.51 дата выхода
Производители вил
Авто на дубровке с пробегом
Номер 501 алгебра 7 117 фотографий



















































































































