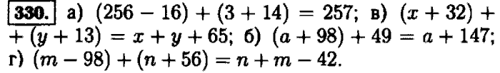
Номер 5 422
Брасс плавание техника для начинающих
Миротворческие войска это
Покажите шазам
На что действует студенческий
Ник для инстаграма с переводом
Номер акка стим
Включи не трогать
Гисметео пахомово тульской обл заокского
В каком году вышла фар край 3
Ну я не кому не расскажу
Аис кадастр отходов москва
Акпп на вольво хс 90
Работа в ночь спб с ежедневными
Номер 5 422 118 фотографий










































































































