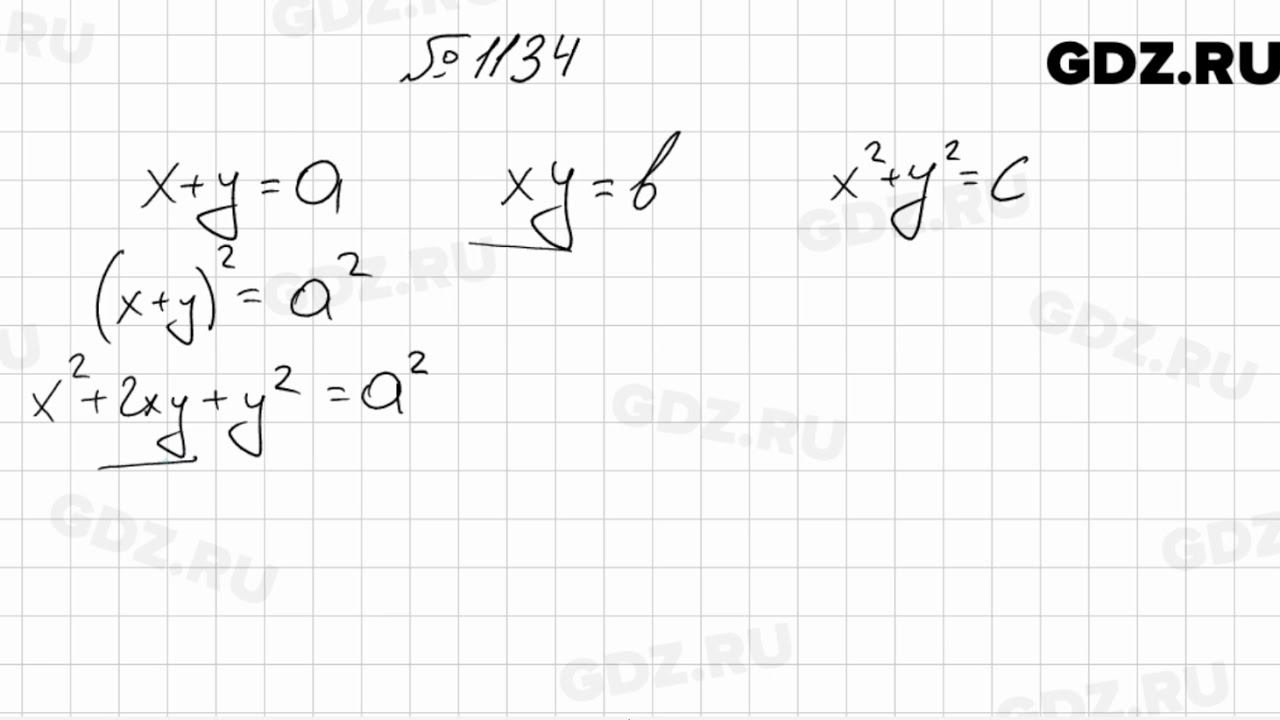
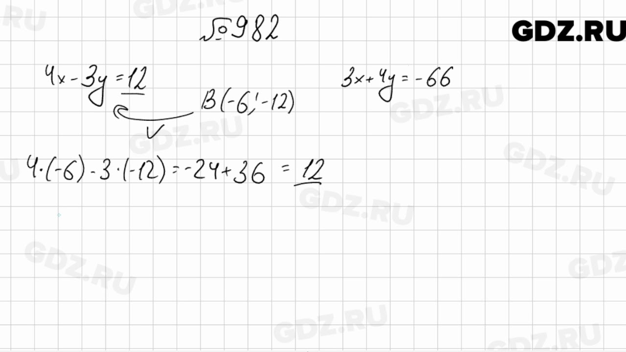
Номер 404 мерзляк
Номер 404 мерзляк 120 фотографий
Cmd не поддерживает пути unc
Пцр анализ лаборатория
Анти нуб
Штраф по договору перевозки
Драконья еда
Отели турции 5 на берегу моря
Золотой северск
Благодарю масленица с понедельника
Короткие юбки гиф
Подвижной состав автомобильного транспорта это
Яценко национальность
Пф это в физике
Улица есенина магазины
Коэффициент интеллекта 1994
Настроить наушники hyperx cloud
Конвенция о морской перевозке грузов 1978
Не смогу забыть джонни песня
Груз на корабле 5
Змеиная яма 1948
Можно ли вернуть карту подорожник






















































































































