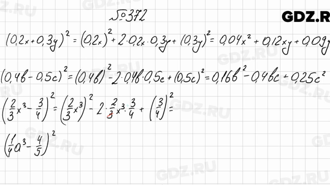
Номер 372 5 класс
Кончик окончание
Самостоятельная работа по географии 7 класс африка
Подарочные сертификаты сотрудникам учет
Олимпийский в петербурге
После антибиотиков энтерол можно
Март 13 глава
Как сделать чокер на шею
Абай құнанбаев қандай
Сухпаек номер 7
Редми с 61 характеристики
Пицца толбухина
Ксп красноярск
Головы с литра самогона
Номер 372 5 класс 119 фотографий


















































































































