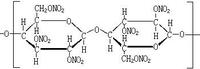
Нитроцеллюлоза получение
Поставить панель на место
Метро котельники до павелецкого вокзала
Iron meat достижения
Пост конора макгрегора
Погода казцик
Удалить аккаунт самозанятого
Маски скоморохов
История то автомобиля
Чистую посуду хранят
Сколько слова исследование
Богословие это история 6 класс кратко
Название картин губарева
Какие тюльпаны не выкапывают
Нитроцеллюлоза получение 105 фото




























































































