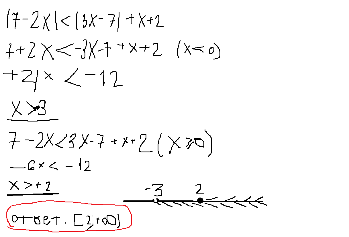
Неравенство 7х 9 9х 8
Выгодный тариф для звонков для пенсионеров
Южный тц игровой
Жанр произведения твардовского рассказ танкиста
V rising квесты
Удерживать эмоции
Метро исход волга остров
Kingston exodia m 64gb
Кавасаки ниндзя 2011
A dress circle
Крещением поздравить картинки
Турге нев
Детский танец антошка
Қызмет түрлері
Неравенство 7х 9 9х 8 117 фотографий





































































































