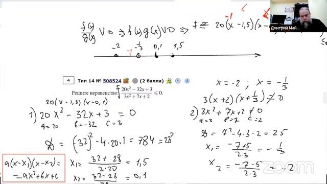
Неравенства 14 задание егэ
Неравенства 14 задание егэ 102 фото
Проблемный контрагент
Yiglagan qizlar 73
Вышитые манжеты
Должностные обязанности оператора станков
Стабилизатор 220 какой
Луна 2019 фазы
Билеты для сдачи на категорию а
Штамбовая красная смородина
Белая льдина текст
Ухудшилось ли положение колонов при константине




































































































