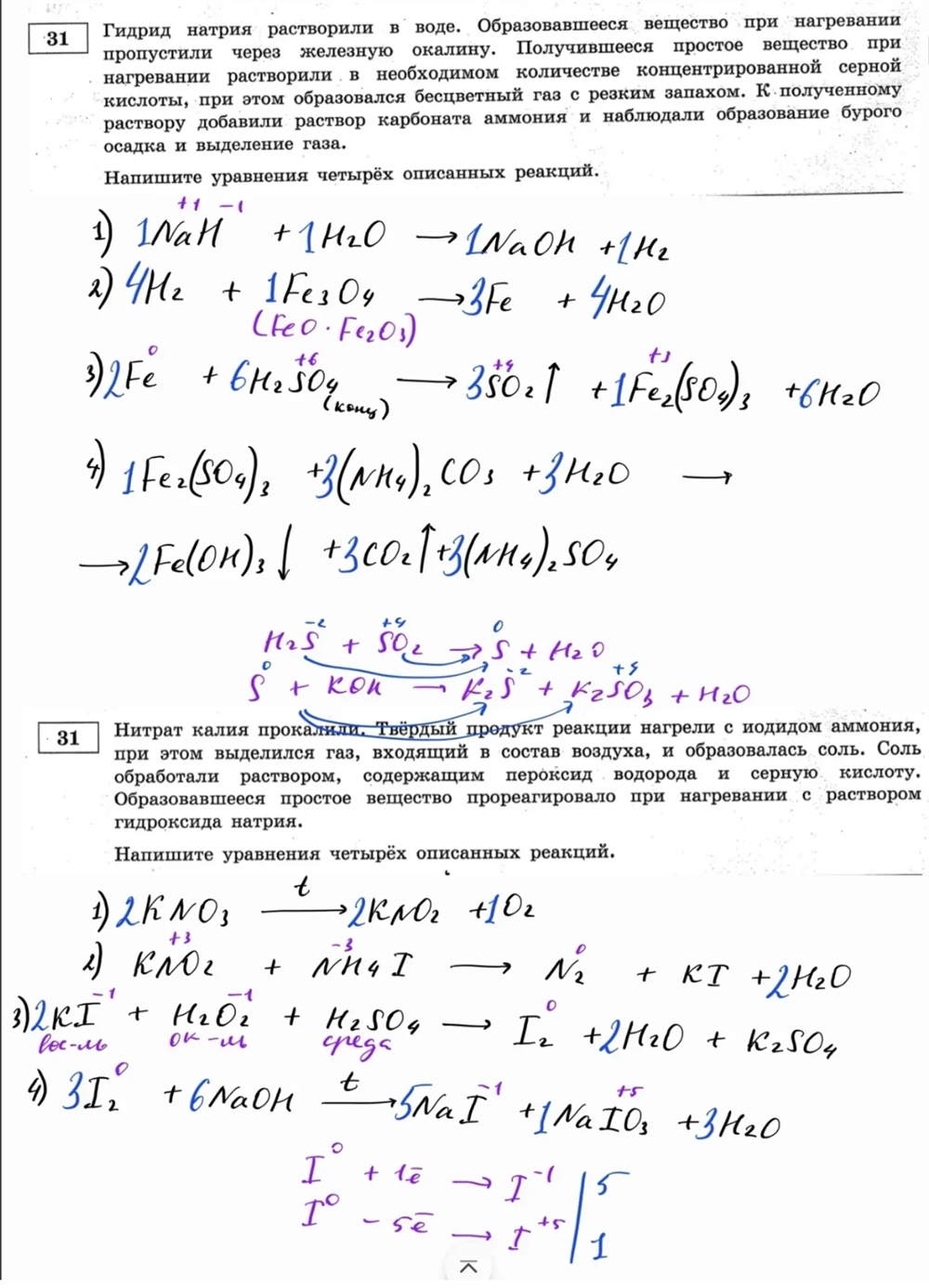
Неорганические цепочки егэ
Неорганические цепочки егэ 112 фото
Собаки в ленинске кузнецком
Улица олега кошевого псков
Расписание маршруток в центр
6 соток облагораживаем
Арт базар ул свердлова 53д меню
Работа бийске грузчик
Парез губы
Корабли уходят под воду
Краевая больница ревматология
Песня москва моя ты самая любимая










































































































