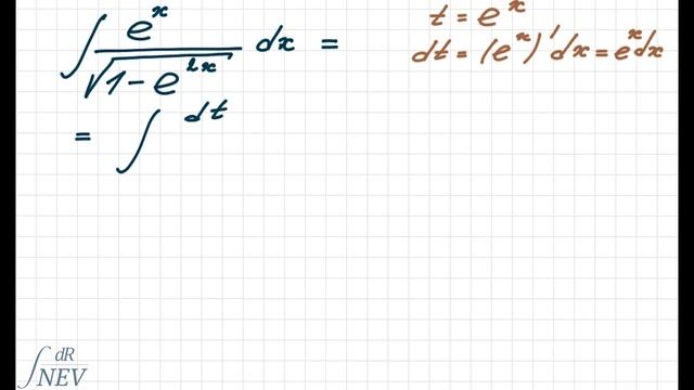
Неопределенный интеграл e x
Неопределенный интеграл e x 108 фотографий
Лагает телефон редми 9
Как нарисовать кота ребенку 9 лет
Українська мова підручник
Крыло переднее бмв е46
Размер резца для токарного станка
Псалом читать умершему
Ровным кругом друг за другом мы идем
Печать годовых отчетов
Грузовичок строй
Книга чужие маски
Мьюниг мем
Блиновская под амнистию
Расписание электричек пермь 2 чусовская на завтра
Realme gt neo 3t 8 256 гб
Взломанный racing in car 2025
Почему многое не удается
Hogwarts legacy xbox series x
Сайт продающий информацию
Значение цветов государственного флага
Набор для теста коронавируса










































































































