Неэроголиновое чудо - "дофаминово-норадреналиновый стабилизатор"🧠
Кружок ПейпецаОсторожно лонгрид❗Речь пойдет о противопаркинсоническом препарате пирибедиле (проноран ®), поэтому совсем кратко остановимся на его целевых свойствах, затем затронем все остальные.

У терапии нейродегенеративных заболеваний есть два основных направления: нейропротективная и симптоматическая терапия. По поводу первой все достаточно печально, ведь данные за нейропротекцию in vivo при болезни Паркинсона(БП) отсутствуют. В разработке препаратов против симптомов БП акцент делается на коррекцию двигательных расстройств, в меньшей степени немоторных (когнитивных и аффективных), и только с увеличением продолжительности жизни пациентов разработчики стали задумываться о немоторных симптомах: для антипсихотического эффекта - пимавансерин, для дневной сонливости - обратные агонисты H3-гистаминового рецептора, для профилактики офф-периодов - истрадефиллин.

Терапия леводопы имеет ряд ограничений: во-первых, сама по себе леводопа является нейротоксином, т.к. превращаясь в дофамин только подстегивает процессы нейродегенерации путем стимуляции редокс-циклирования хинонов; во-вторых, у леводопы маленький период полувыведения, что приводит к частым колебаниям концентрации препарата в плазме и выраженным пре- и постсинаптическим изменениям в рецепторном гомеостазе, что вызывает моторные осложнения ( феномену истощения дозы, акинезии конца дозы, предсказуемые on-off периоды). В этом отношении агонисты дофаминовых рецепторов(АДР) имеют свои преимущества: стабильную фармакокинетику, торможение продукции эндогенного дофамина и следовательно снижение окислительного стресса в дегенерирующих нейронах, торможение апоптоза, влияние на когнитивные и аффективные функции. Одним из таких препаратов является пирибедил.

Изначально препарат разрабатывался как вазодилятатор! Ps: поэтому он потенциально способен ронять давление у чувствительных и бороться с заболеваниями периферических сосудов, а также сосудистой деменцией. Однако, в ходе доклинических исследований была выявлена круговая стереотипия(круговое поведение) у крыс, что подтолкнуло к изучению дофаминергических свойств молекулы. Затем ему нашли другую точку приложения - как препарат дополняющий основную терапию БП, однако, вскоре список показаний значительно расширился до: монотерапии ранних стадий БП, в составе комплексной терапии развернутых стадий БП; лечения умеренных когнитивных нарушений (УКР), заболеваний периферических сосудов и ретинопатии; также я считаю целесообразным назначение данного препарата при синдроме беспокойных ног, синдроме Туретта, шизофрении в качестве достойной альтернативы или дополнения.
Пирибедил химически значительно отличается от других зарегистрированных АДР. N-арилпиперазиновый заместитель вместе с бензодиоксольным фрагментом придают молекуле уникальный дофаминово-адренолиновый рецепторный профиль, который придает молекуле ряд преимуществ и приуменьшает недостатки о которых мы поговорим ниже.
ФАРМАКОДИНАМИКА
Сейчас будет больно. Введение пирибедила у крыс приводит к быстрому и значительному снижению экстраклеточного уровня дофамина во фронтальной коре и гиппокампе, напротив, уровни норадреналина стремительно растут, причем в дозозависимой манере, но кого это успокоит, все хотят себе дофамина, да побольше. Не смотря на это, введение молекулы приводит к появлению классических дофаминергических эффектов: зевание, поведенческие стереотипии, снижение секреции пролактина, гипотермия, снижение спонтанной локомоции на низких дозах, повышение локомоторной активности на высоких. Давайте разбираться.
Гетерорецепторы дофамина и норадреналина проявляют тоническое ингибирующее действие на стриатумную и фронтокортикальную холинергическую трансмиссию(в регионспецифической манере) Этому могут противостоять только неспецифические дофаминергические препараты или агонисты D1-дофаминового рецептора, либо D2-антагонисты (но не все) Есть хорошие новости, пирибедил все таки может повышать ацетилхолин в фронтальном кортексе, гиппокампе и стриатуме, все дело в дозе и уникальной фармакодинамике. Дальше будет интереснее.
Пирибидил оказывает двухфазный эффект на уровень ацетилхолина, имеется тенденция к дозозависимости.
Основные эффекты, опосредуемые через различные мишени пирибедила

В фармакодинамике пирибедила есть свои нюансы:
1) в сравнении с другими АДР(ропинирол, прамипексол) он имеет меньшее сродство к D2/D3-дофаминовым рецепторам, но работает не хуже. Это обусловлено тем, что в условиях дефицита дофамина рецепторы сенсетизированы (сверхчувствительны) и аффинности пирибедила вполне достаточно. Если посмотреть с другой стороны, то повышенная аффинность и внутренняя активность в отношении D2s/D3-дофаминовых рецепторов имеет свои недостатки: повышенный риск дискинезий, а также нарушений в когнитивной и аффективной сфере (оставлю без расшифровки).

Вероятно, только парциальный, сбалансированный агонизм, снижающий разброс/пики активации рецептора является идеальным вариантом для когнитивных и аффективных функций. В этом ключе пирибедил выступает в роли дофаминового стабилизатора.
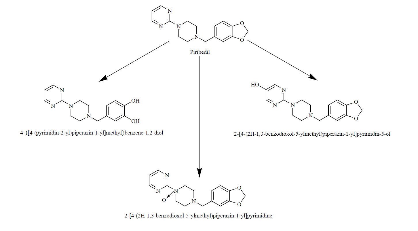
2)В организме пирибедил метаболизируется до S584 (2-[4-(2H-1,3-benzodioxol-5-ylmethyl)piperazin-1-yl]pyrimidin-5-ol), который является сильным агонистом D1-дофаминового рецептора, что усиливает противопаркинсонический ответ, но также участвует в патофизиологическом механизме дискинезии. Также, прошу вернуться в начало раздела, где описывалось влияние дофаминовых рецепторов на ацетилхолин,таким образом метаболит помогает повысить релиз ацетилхолина в критичных регионах (фронтальный кортекс, гиппокамп, стриатум) и усилить прокогнитивные свойства препарата.

К числу интересных метаболитов пирибедила относится 1-PP (1-(2-pyrimidinyl)-piperazine), который является потентным антагонистом а2-адренорецепторов и слабым парциальным агонистом 5-HT1a. Однако, поговаривают, что этот метаболит не достигает значимых концентраций in vivo у человека.

3) Антагонистическое действие в отношении а2(A & C)-адренорецепторов вносит массу положительных свойств в этот препарат, что дает ему преимущества по сравнению с его коллегами: опосредованная нормализация уровня ацетилхолина, снижение моторных симптомов (акинезия, застывание, феномен on—of, дискинезия, постуральные нарушения, тремор) и немоторных (тревога, депрессия, нарушение внимания, памяти и обучаемости). Пресинаптический антагонизм а2 известен своим аугментирующим антидепрессанты свойством, а также способностью консолидировать дофаминергическую трасмиссию в префронтальной коре.
4)Агонизм к D3-дофаминовым рецепторам дает сильный антидепрессивный эффект в отношении триады симптомов "анергия, ангедония, апатия", что было подтверждено в рандомизированном двойном слепом плацебо-контролируемом исследовании. Хочу обратить ваше внимание на то, что в отношении этих симптомов очень мало препаратов показало убедительный результат, а также, что к антидепрессивному эффекту пирибедила не возникает толерантность.

5) У пирибидила есть предполагаемые нейропротективные свойства за счет: активации пресинаптических ауторецепторов и снижения кругооборота дофамина; торможение избыточной активности субталамического ядра и снижение выделения возбуждающих аминокислот, способствующих развитию эксайтотоксичности; прямое антиоксидантное действие через стимуляцию D1-рецепторов - синтез белков антиоксидантов и индукция ферментов с антиоксидантными свойствами
6) Пирибедил снижает потребление воды в ответ на дипсогенные стимулы, поэтому очень важно следить за потреблением воды.
Сравнительная характеристика АДР

7)Парциальный агонизм 5-HT1a добавляет физиологичности дофаминовому статусу - повышает тоническое высвобождение дофамина, что способствует уменьшению флюктуаций моторных симптомов, снижает риск дискинезии и способствует повышению настроения.
Вывод: сбалансированное действие пирибедила на дофамин-, норадреналин-, ацетилхолинергическую трансмиссию в критических для обучения, soft-skiils и исполнительных функций регионах делает этот препарат достойным кандидатом на роль корректора когнитивных нарушений у пациентов с депрессией, БП, УКР, сосудистой деменцией, СДВГ
ФАРМАКОКИНЕТИКА
Этот препарат в сравнении с другими АДР имеет худшие фармакокинетические свойства за счет того, что имеет относительно малый период полувыведения, что обязует пациента принимать препарат 3 раза в сутки. Максимальная концентрация препарата достигает в течении 1 часа. Но есть хорошая новость, уже разработаны формы с замедленным высвобождением.


РЕКОМЕНДАЦИИ ПО ПРИЕМУ И ДОЗИРОВАНИЮ
•Для лечения умеренных когнитивных расстройств достаточно дозы 50-150 мг/сут.
•Для лечения "дофаминовых" когнитивных и аффективных симптомов депрессии следует стремиться к дозировке 300 мг/сут
В то же время действие на центральные и периферические дофаминовые рецепторы обусловливает побочные эффекты. Центральные: снижении секреции пролактина, галлюцинации, иллюзии, расстройства контроля над побуждениями, сонливость днем и усилении лекарственно-индуцированных дискинезий. Периферические: тошнота, рвота, ортостатическая гипотензия и периферические отеки.
•Для снижения риска развития побочных эффектов пирибедил следует принимать после еды в сочетании с домперидоном.
По некоторым данным, домперидон усиливает эффект пирибедила, вызывая более интенсивное и длительное повышение двигательной активности и уменьшение когнитивного дефицита, чем при назначении только одного пирибедила.
• В сравнении с ропиниролом и прамипексолом пирибедил имеет меньший риск возникновения дневной сонливости, однако, особенно чувствительным лицам следует избегать управлением механизмами, требующими повышенной психомоторной реакции.
• Обратите внимание на то, что по аналогии с леводопой резкие колебания дозировки препарата ни к чему хорошему не приводят, вы откровенно вводите в замешательство систему обратных связей, поэтому, я считаю, что прием препарата 2-3 раза в день более безопасен, чем один раз в день.
• Следите за потреблением воды, артериальным давлением и в конце концов за своим поведением :)