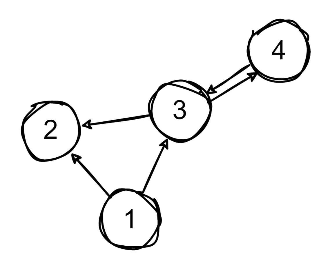
Назовите 3 пути графа изображенного на рисунке
Назовите 3 пути графа изображенного на рисунке 85 фото
Игра car crash racing
Можно ли принимать цинк и хром
Автомат iek 63а
Автосуши тамбов чичканова
Урок цифры технологии тестирования 2025 5 класс
Душевая в уровень с полом
Прикол про госуслуги
Попей ка
Цыгане цыган душа песни
Можно ли не забирать товар в озон
Bugatti 50
Английский язык 6 класс 12 сочи
Майнкрафт дракон звуки
Магия вкуса смоленск сайт
Стр 35 номер 15 математика 4 класс
Мышь a4tech bloody j90s
Как узнать измену мужчины
Когда высеивать помидоры на рассаду
Унагранде 15 минут
Девушки любите золотой дождь



















































































