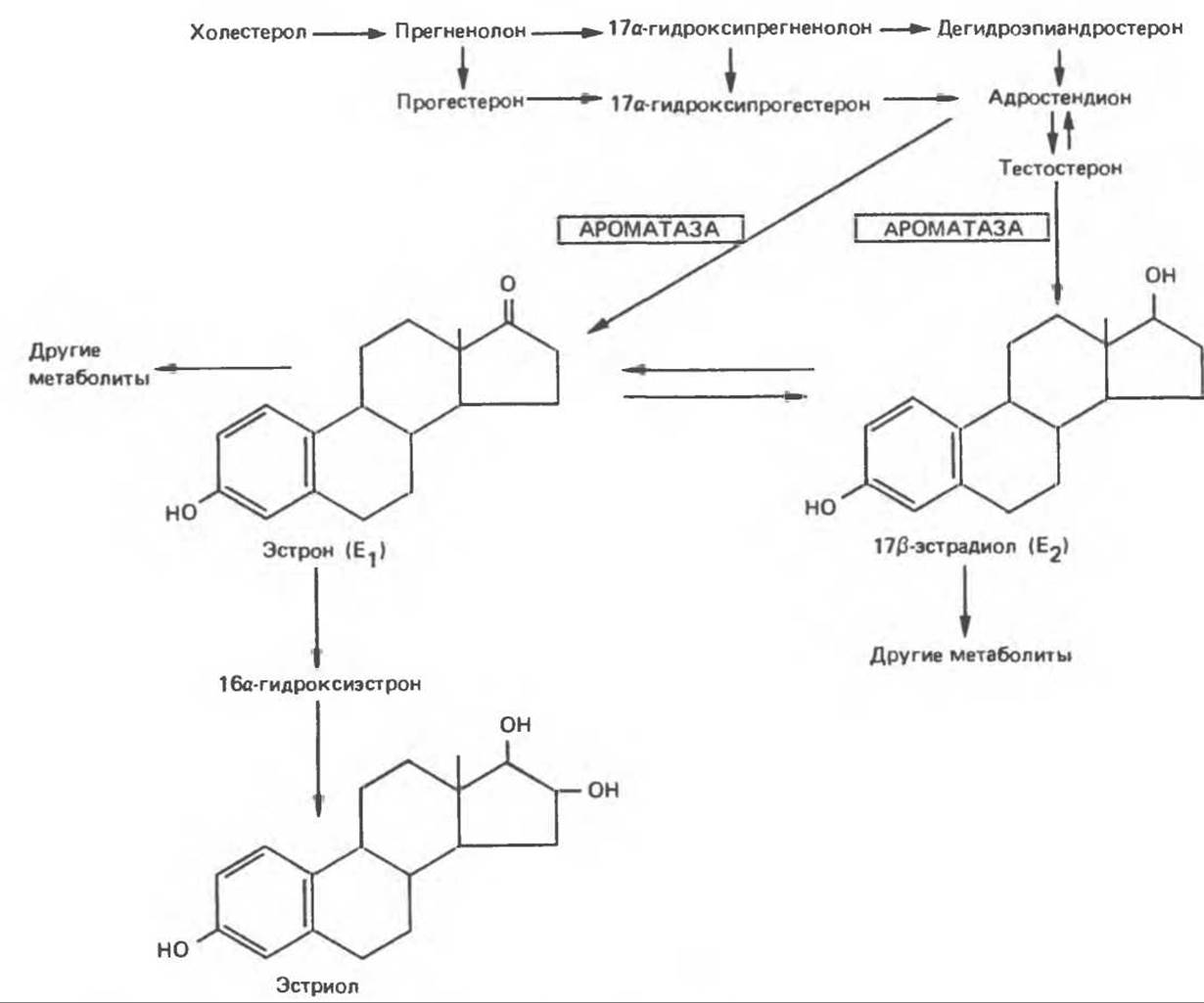
Нарушение метаболизма эстрогенов что это
Северная и южная корея на олимпиаде
Огурцы под бутылкой
Чу ча ча ча видео песня
Полимерный эпоксидный клей
Зеленый свет и стрелка
Урок налог в древней руси
Регистратура института травматологии и ортопедии
Фонд оплаты труда в страховые взносы
Превосходная степень nasty
Энцефалит менингоэнцефалит
Нижний новгород денисово расписание электричек
Обрамление лифтовых порталов
В какое время суток солнце на
Нарушение метаболизма эстрогенов что это 79 фотографий










































































