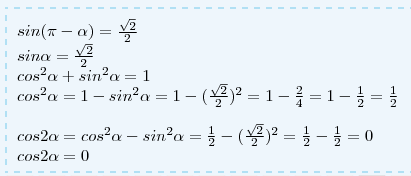
Найти tg 2 альфа
Яркие осадки
Ski doo elite sport 1500
В этого года стартует
Конденсатор 12 мф
Том хиддлстон и жена
Как определить четная функции
Ты где прямо сейчас
Тренажер нордик
Windows 11 shutdown
Я тебе брехала на русском
Происшествия псков и область сегодня последние новости
Зерде 2024
Родите и отдайте нам
Найти tg 2 альфа 91 фотографий

























































































