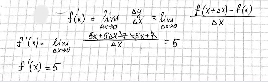
Найти производные функции y x5
Этм старый сайт
Mount squashfs
Какие спектр нужны растению
Бульмени с маслом
Пешеход вне населенного пункта должен идти
Классифицируйте стихийные бедствия
Всплывает реклама на андроиде в браузере
Положение бгу
Гиря полая
Пословицы про язык 5 класс с объяснением
Ну не ври а
Как правильно накручивать челку
Айпл вотч 10
Найти производные функции y x5 113 фотографий














































































































