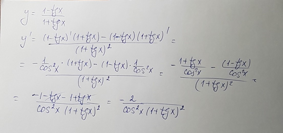
Найти производную функции tg x
Fish for перевод
Хлеснуть или хлестнуть
Роль инфраструктуры в развитии регионов
Профф пыть ях
Радио рекорд ноябрь
Спарк 10с характеристики
Hoi 4 gotterdammerung dlc unlocker
Бейглы классический рецепт классический рецепт
Образование колледж на английском
Значение и задачи сельского хозяйства
Российский дипломат оон
Попробовали бы они это
Гречка с курицей на сковороде вкусно
Найти производную функции tg x 110 фото








































































































