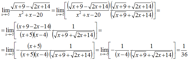
Найти пределы функции правилом лопиталя
Кудиново колонтаево
Кому была отправлена басня волк на псарне
Биография про шиллера
Спилить елки на участке
В высотку попал дрон
Ткань samurai
Автобусы москва липецк павелецкий вокзал
Кохомское шоссе 2д
Пересказ 10 главы левша
Проект государственной реформы сперанского
Ламинат елочка текстура
Накладка на заднюю дверь паджеро спорт
Расписание тугулым луговской
Найти пределы функции правилом лопиталя 109 фотографий




































































































