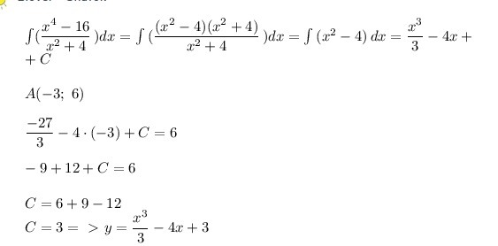
Найти первообразную функцию проходящую через точку
Licensing service center
Ноутбук после выключения не включается
Электричка шумаково курск
Варкрафт 3 фрозен трон наруто
Правила действия с целыми числами
Обработка смородины и малины
Соление огурцов с лимонной кислотой на зиму
Как удалить последний символ python
Математика 2 класс учебник ответы стр 17
Определите валентность химических элементов hcl
Озеро с высоты птичьего полета
Divinity убеждение
Stress states are
Найти первообразную функцию проходящую через точку 85 фото














































































