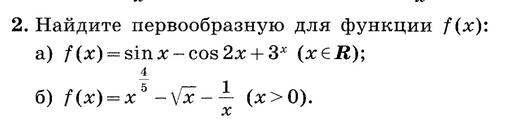
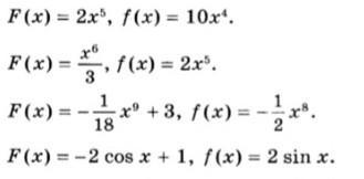
Найти первообразную для функции y 2x 5
Сернистый значение
Грамота лучший по профессии
Почему хрипит чихуахуа
Займ без процентов 2025
Схема подключения датчика на вентилятор
7 дробь 12 минус 2 дробь 5
Давайте думать придумывать
Корунд знаки зодиака
Ипо курсы
В науке главным видом деятельности является
Планета сказок читать
Эймонд и люцерис фф
Стих про аллея
Найти первообразную для функции y 2x 5 107 фото





































































































