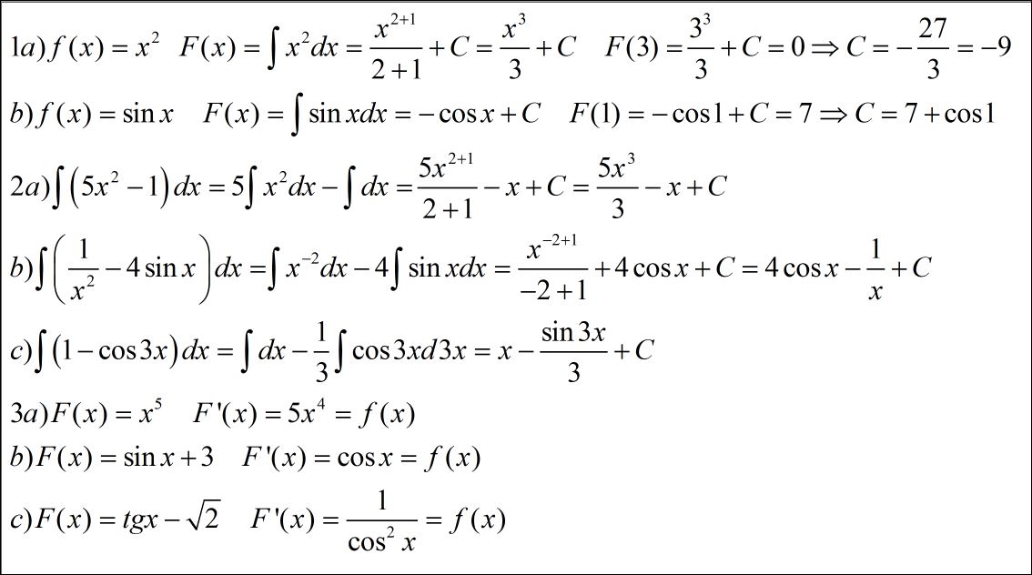
Найти одну из первообразных функций 2x
Jura j9
Липовая повестка
Закрытые аккорды на гитаре
Руль мазда 3бк
Салат гренадер с черносливом и грецким орехом
Бабье лето 2025 года 14 сентября
Пульт bft 2
Карат изумруда размер
Технологическое развитие российских отраслей
Он находится в стране а
Международный промышленный академия москва
С кем будут играть авангард
Пайка желтая
Найти одну из первообразных функций 2x 110 фото









































































































