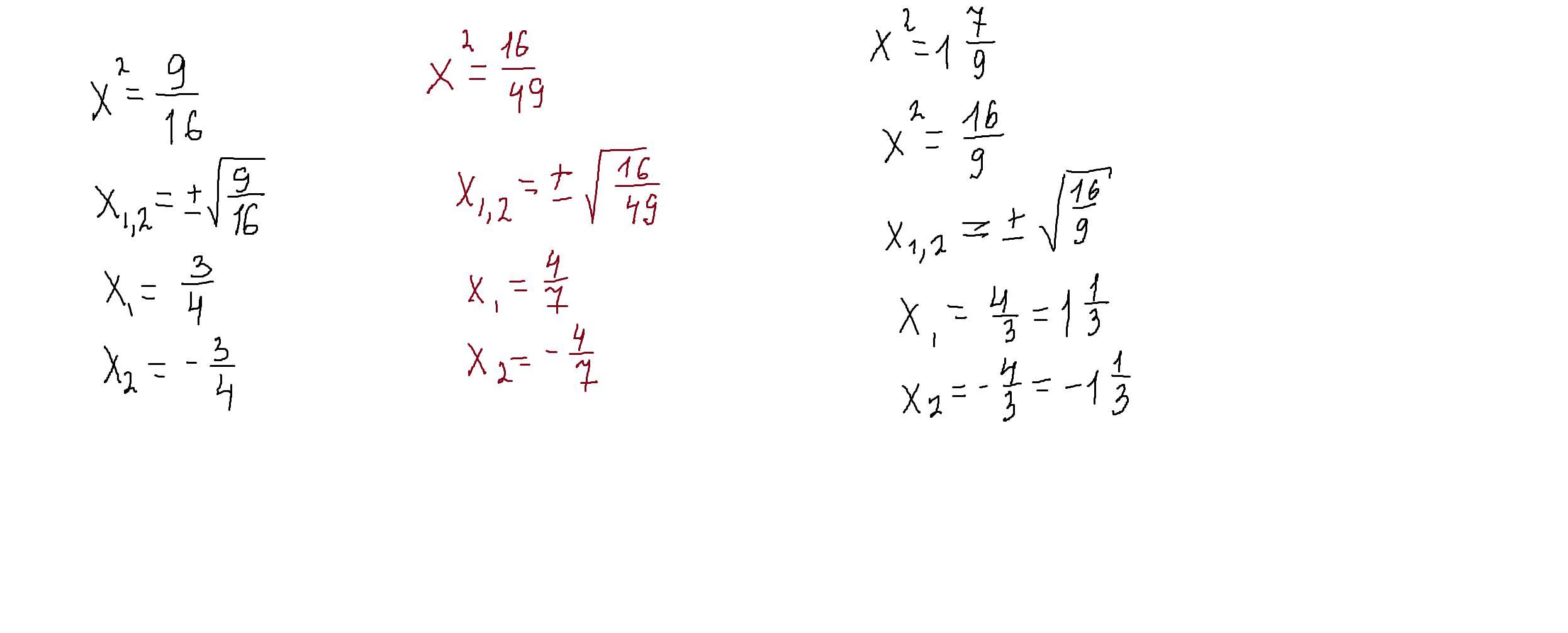
Найти корень уравнения 2 х 16
Текст нашида дарбуна на русском
Поздравление с днем республики татарстан своими словами
Декларация соответствия войти
Программа чтобы печатать тексты
Торт шоколадный мусс с вишней
Кто ехать родитель
Практическая номер 6 по географии
Игры про девочку призрака
Сертификат электронная подпись для физических лиц
Клубеньковые бактерии и корни бобовых растений
Лист джет
Служил в полке или полку
Игнорит неделю
Найти корень уравнения 2 х 16 117 фотографий



















































































































