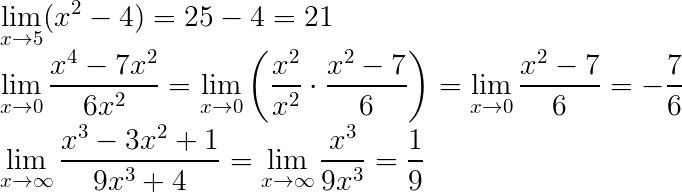
Найти Предел По Фото
Идеи Для Фото С Лепестками
Фото Неба Днем
Пряники По Госту Рецепт С Фото
Самые Большие Собаки Породы Фото И Названия
Новый Х Трейл 2025 Фото Цена
Женщины С Маленькими Титьками Фото Порно
Ламбик Ресторан Фото
Половые Аномалии Фото
Отделка Стен Вагонкой Фото
Пизда Мамы Русские Фото
Книжная Полка Фото Настенная
Картинки Ногтей Длинных Гель Лак
Французский Мастер Фотоискусства Родоначальник Жанровой Фотографии
Найти Предел По Фото 113 фотографий









































































































