Найти Ответы По Фото Алгебра

⚡ 👉🏻👉🏻👉🏻 ВСЯ ИНФОРМАЦИЯ ДОСТУПНА ЗДЕСЬ, КЛИКАЙ 👈🏻👈🏻👈🏻
photomatch онлайн решать
App Store: ГДЗ: решебник по фото учебника
Mathway | Решение алгебраических задач
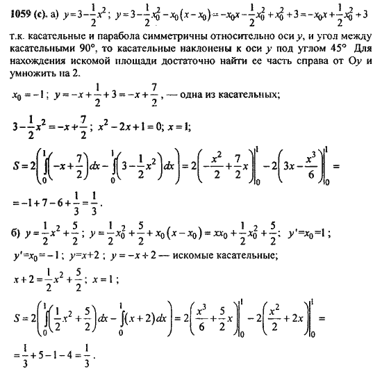
Ответы: ЗАДАНИЕ НА ФОТО . . . . . . . . . . . . . . . .
ГДЗ по алгебре за 7 класс, решебник и ответы онлайн
10 .9 .8 .7 Классы СОР/СОЧ ответы | ВКонтакте
ГДЗ (Ответы) Алгебра 7 клас Мерзляк 2015 . Відповіді до . . .
Поиск по картинке - Картинки . Справка
Ответы Mail .ru: Графики функций пересекаются в двух точках . . .
Раскрой скобки и представь в виде дроби(см .прикрепл .фото . . .
Фото 18 В Домашних Условиях
Купить Квартиру Ставрополь Фото
Фото Решебник По Русскому
Читайте отзывы, сравнивайте оценки покупателей, просматривайте снимки экрана и получайте дополнительную информацию об этом контенте (ГДЗ: решебник по фото учебника) . Загрузите этот контент (ГДЗ: решебник по фото . . .
Бесплатный сервис по решению математических задач даст ответы к вашему домашнему заданию по алгебре с пошаговым объяснением .
Ответы и объяснения 1 . rtrethe459 . 1)Подснежник-разведчик смело заглянул голубыми глазами в ясный лик солнца . 2)Отрок-ветер по самые плечи заголил на берёзке подол . 3)У журнала "Огонёк" появилось . . .
ГДЗ: Спиши готовые домашние задания по алгебре за 7 класс, решебник и ответы онлайн на gdz .ru .
Здравствуй, дорогой ученик😎 ТУТ САМОЕ ЛУЧШЕЕ СООБЩЕСТВО ПО СОРАМ И СОЧАМ . У нас ты можешь найти ответы на интересующие тебя контрольные, а при необходимости получить ✨ИНДИВИДУАЛЬНЫЕ (!) И ПРАВИЛЬНЫЕ✨ . . .
Ответы к учебнику Алгебра 7 класс Мерзляк 2015 - решебник Смотреть ГДЗ (решебник) онлайн: Вступ до алгебри № 1 - 32
найти картинку в другом размере — например, большую для рабочего стола или маленькую для аватарки; распознать и перевести текст с картинки или фото (только в мобильной версии Яндекс . . .
Ответы Mail .ru Домашние задания Русский язык Литература Математика Алгебра Геометрия Иностранные языки Химия Физика Биология История Обществознание География Информатика Экономика Другие . . .
Если тебя не устраивает ответ или его нет, то попробуй воспользоваться поиском на сайте и найти похожие ответы по предмету Алгебра .
Картинки На День Народного Единства Для Срисовки
Картинки Нежно Сиреневого Цвета
Программа Восстановления Фото И Видео Файлов
Оформление Окна В Детской Фото
Торговый Центр Соловьи Брянск Адрес И Фото
Где Найти Пнг Картинки
Московский Вокзал Фото
5 Фото 1 Слово
Лужа Слез Картинки
Фото Мертвой Птицы
Порно Фото Волосатые Подростков
Фото Оформления Стены С Телевизором
Жены Жарова Михаила Фото
Средне Короткая Стрижка Женская Фото
Русские Извращенцы Порно Фото
Скачать Картинку Теплая Осень С Добрым Утром
Фото Бегемота Из Мультика
Черно Картинки Татуировок
Фото Ретро Трусиков
М Дмитриев Фотографии
Как Сделать Просмотр Фото Виндовс 7
Фоновые Картинки С Животными
Очень Светло Русый Пепельный Фото Лореаль
Кухня В Деревянном Доме Дизайн Фото
Легкая Химия Отзывы Фото
Молоки Кеты Рецепты Приготовления С Фото
Фото Ольги Карповой
Соус Кимчи Фото
Юмор Работа Картинки Смешные
Фото Натяжного Схема
Как Называется Фотография На Улице
Ветка Яблони В Цвету Фото
Красивый Боб На Короткие Волосы Фото
Видео Фото Поздравление Женщине
Золотые Нити Для Лица Цена Фото
Стрижка Для Круглого Лица 45 Фото
Картинка Разных Трусов
Царская Невеста Пеларгония Купить Цена И Фото
Решить Пример По Алгебре По Фото
Макияж Для Темных Волос Фото
Скачать Картинки Все Будет Хорошо Верь
30 Гр Сала Это Сколько Фото
Война И Мир 2016 Фото
Менакер Отец Андрея Миронова Фото
Фото Голых Писек Русских Женщин
Чистые Пруды Достопримечательности Фото
Туя Файер Чиф Фото И Описание
Туя Западная Литл Джем Описание Фото
Голые Алкашки Порно Фото
Фотографии Пинчук Сына
Ипомея Цветок В Домашних Условиях Фото
Скачать Фото На Заставку Природы
Сделать Фото Солнечным
Тыква Перехватка Описание И Фото
Приложение Которое Делает Фото Поющим
Как Сделать Надпись Под Картинкой В Ворде
Панели Стеновые С Рисунком Каталог Фото
Секси Толстушки Фото
Цветные Фото Голых Женщин
Фото Для Пранка С Парнем Без Лица
Картинка Мойдодыра Для Детей На Прозрачном Фоне
Наруто Картинки На Компьютер
Фото Голой Актрисы Светланы
Пиво Брама Фото Бутылки
Ударник Саратов Заводской Фото
Садовые Муравьи Фото
Стихотворение С Днем Днем Рождения Фото
Скачаю Красивая Фото Любви
Картинка Девочка Тик Ток В Пижаме
Классические Диваны В Интерьере Фото
Картинки Быта Татарского Народа
Детские Книги С Картинками Pdf Скачать Бесплатно
Красивые Голые Девушки Фото Мужики
Программа Для Компьютера Открывать Фото
Редкие Картинки С Добрым Утром
Пеларгония Вера Фото
Княгиня Форма Половых Губ Фото
Роза Хулио Иглесиас Фото И Описание
Картинка Льва И Львенка Для Детей
Как Удалить Фото На Леново
Кухня Дуб Серый Боровичи Фото
Овчарка Корги Фото
Мебель В Ташкенте Фото И Цены
Фото Эмбриона Х 18
Бабушка Легкого Поведения 2 Актеры Фото
Роза Эквадор Сорта Фото Названия
Ивана Монтана Фото
Шпица Горячие Фото
Проект 2 Этаж Фото
Фото Красивых Девушек 18 Лет Без
Мазда 3 Картинки
Модные Косые Челки 2022 Фото
Давид Цаллаев Братья Фото
Девушки В Новый Год Фото Вк
Фото Желтых Обоев На Телефон
Мария Склодовская Кюри Фото
Незабываемые Впечатления От Красоты Мира Нашего Картинки
Сказочных Снов Гиф Картинки Красивые
Фото Со Спутника В Реальном Времени Бесплатно
Джонни Песни Фотография
Найти Ответы По Фото Алгебра



















































.png)





















