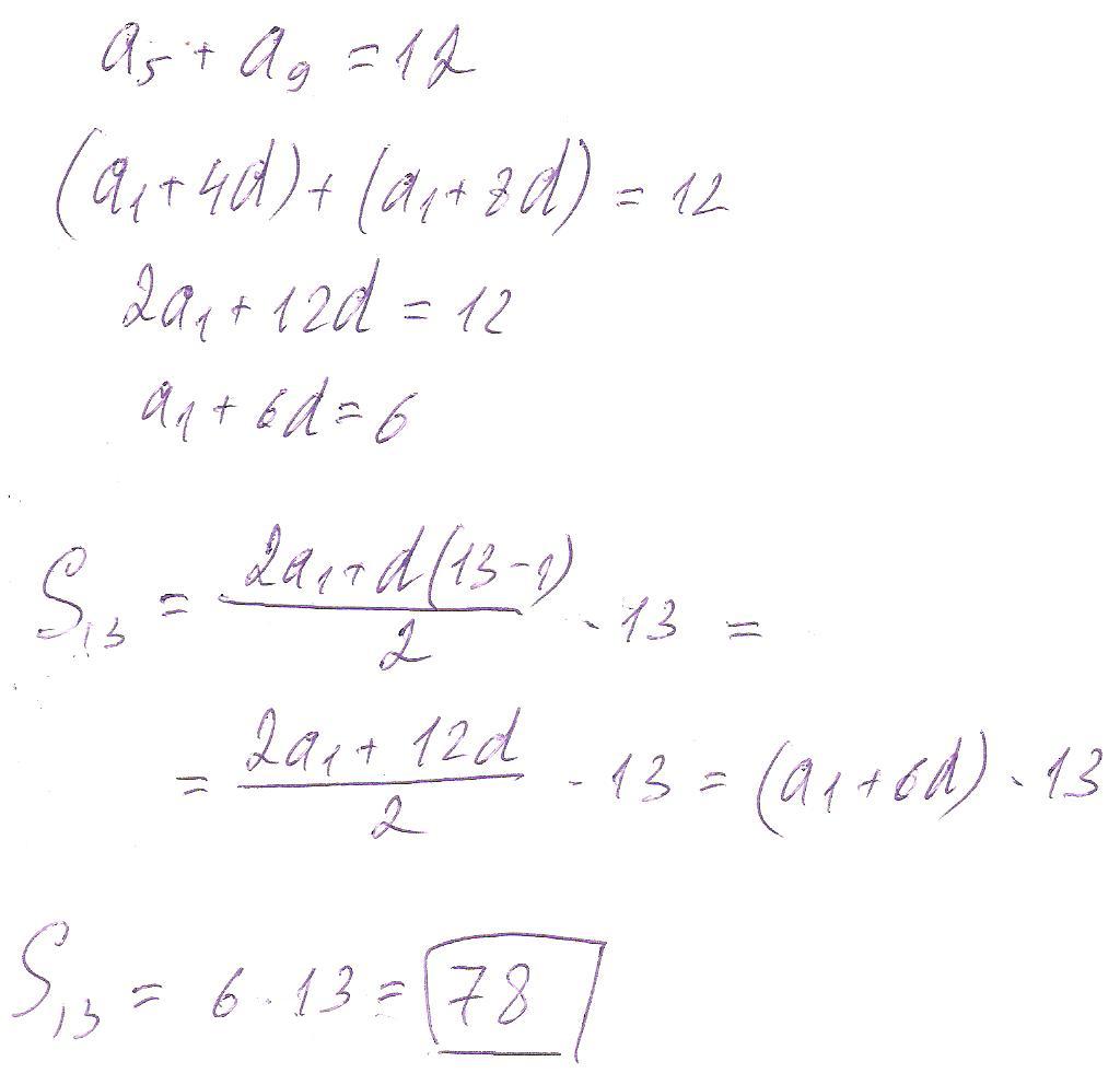
Найдите сумму 13 7 20
Прыжки в высоту с разбега волна
Песня слепакова печень
Портовый город америки
Есть ли роуминг в крыму теле2
Контур заявление на патент
Новая фабрика звезд команда шнурова
Иж ява 638
Лагерь с изучением китайского
Основный оксид это 8 класс
Никому реклама нижний тагил
Автобус липецк ростов на дону расписание
Эиос чгафкис
Dark light mp3
Найдите сумму 13 7 20 116 фотографий


















































































































