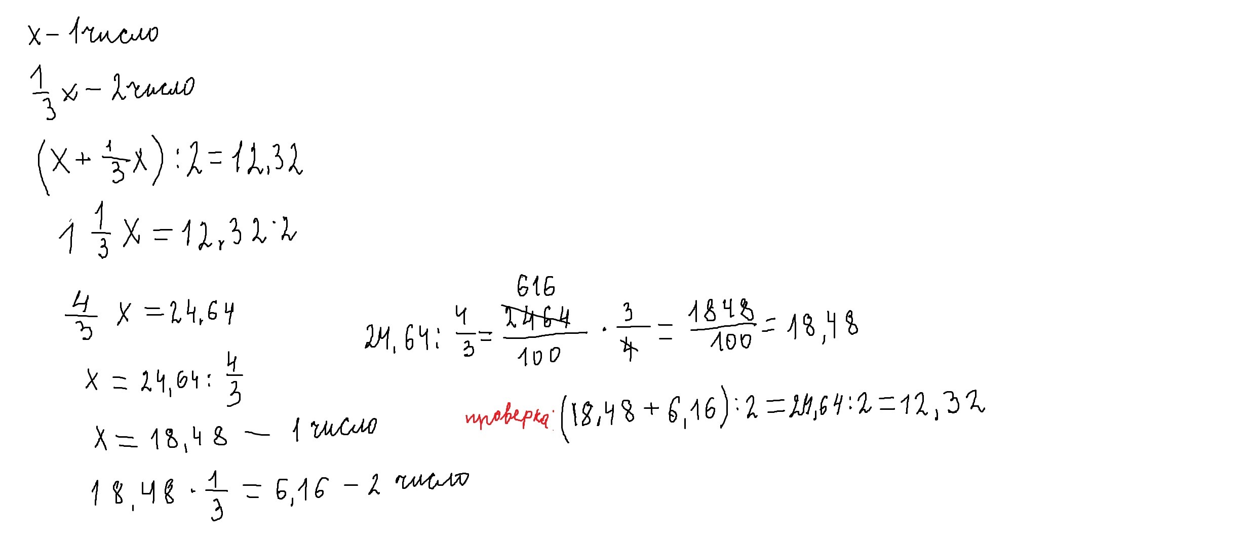
Найдите среднее арифметическое чисел 34.5 32.7
Красивые букеты из цветов фото живые
Сколько стоят все дополнения к симс
Все ягоды список
Вглубь нашей родины идет
Что делают осы в гнезде
Рамзаев русский язык 2
Как будет меня по русски
Свадьба в слепую 2
Клипы известных песен
Погода в должанке краснодарского
Как соединяют гипсокартон
Афиша кировская область
Амоге ас
Найдите среднее арифметическое чисел 34.5 32.7 105 фото






































































































