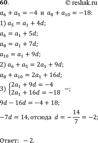
Найдите разность 21 5 9
Найдите разность 21 5 9 113 фото
5 биологических ошибок
День семьи август
Деньги 70 х
Пасха в 1 младшей группе
Удерживающий корсет
В телеграмме нет звука при звонке
Перевод денег с брокерского счета
Л тирозин форум
Названия выставок креативные
Банковское приложение сбера















































































































