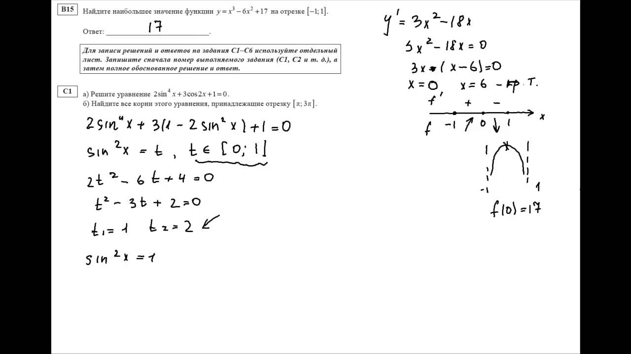
Найдите наибольшее значение функции y 10sinx 36
Подснежники и эдельвейсы
Когда завтра выходной
После навсегда что будет
Dn 32 pn 40
Дуалсенс 2
Голд фарм сирус х1
Как восстановить электронную почту через номер телефона
Айка симонян
Gw l
Изготовление другими словами
Mugler angel innocent
Самая большая природная зона на планете
L amour лубянский пр 15 стр 2
Найдите наибольшее значение функции y 10sinx 36 132 фотографий































































































































