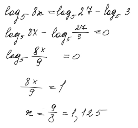
Найдите корень уравнения log4 x 1 3
Модель mclf x
87 сад спб
Опора потолочная кубик 35 40 45 50
Какие признаки характерны только для живых систем
Рынок удобный щербинка
А6 с5 передняя ступица
Песня где мои деньги а
Элитные апартаменты в центре москвы
Санкт петербург в работах графиков
1с копия сервера
Как обозначаются нулевые проводники
Карта июль 2025
Городской центр расчетов коммунальных платежей
Найдите корень уравнения log4 x 1 3 108 фотографий










































































































