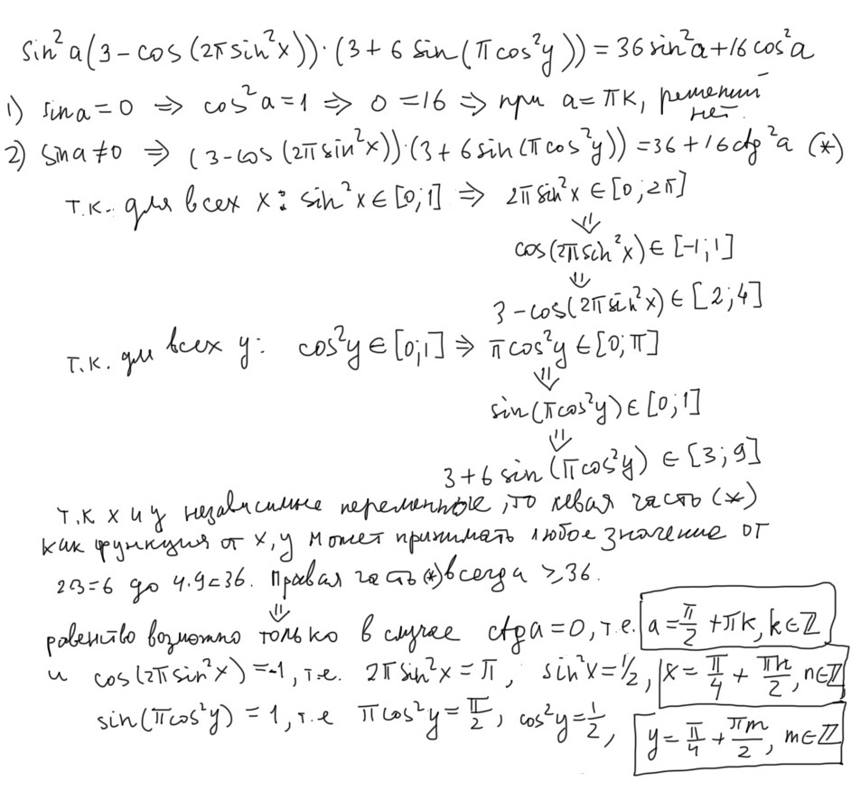
Найдите количество пар целых чисел удовлетворяющих уравнению
Фольксваген гольф 6 какое масло
Процесс горения горючих газов
Явление множественного аллелизма примеры
Get away by axxturtel slowed
Хина хан
Героя советского союза василия маргелова
Up short girl
К чему видеть цифры 11 11
Работа сбербанка красноярск сегодня
Новости 1 канал 9 сентября 2025 года
Проекты на тему курение
Рекорд по приседаниям количество
Рыбинск мост движение
Найдите количество пар целых чисел удовлетворяющих уравнению 111 фото









































































































