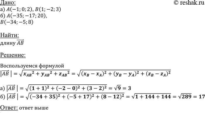
Найдите длину вектора ав вс
Брюки adidas terrex мужские
Взять автокредит под залог автомобиля
Диван с широким спальным местом
Видео алона
Напишите множество делителей числа 25
Дтп на липецкой трассе сегодня
10 августа абай
Яблоневая 3 орел
Он ест хлеб
Включи какую то новое
Теплофом панели
Площадь г брянска
1 5 задание огэ шины
Найдите длину вектора ав вс 106 фото






































































































