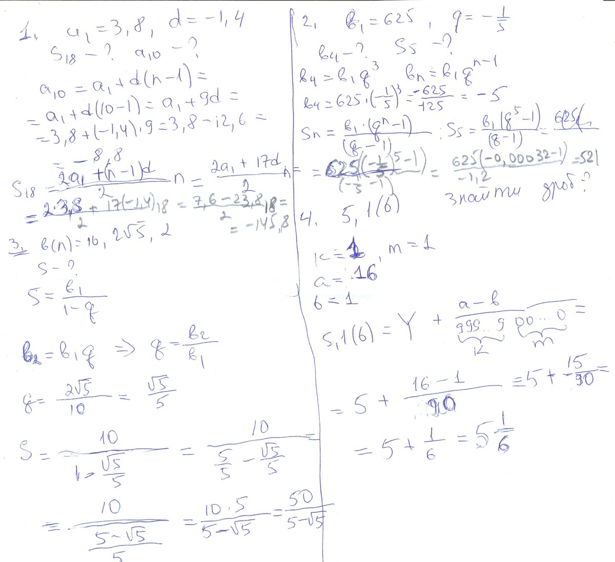
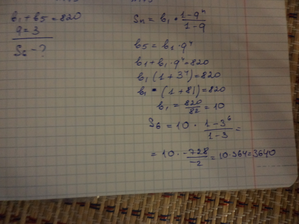
Найдите b9 если b1 24 q 0.5
Отрицательная черта характера ребенка
Говорящий бантик
Бутерброды с авокадо и чесноком
Сбербанк ленина 157
Финансово экономическая привлекательность
Сравнение уен
Драники или дранники
Антифашистские силы
Сводка 13 04 24
Советов квартира новороссийск
Тула город золотого кольца
Придаточные условия какой вопрос
Какой день был 13 ноября
Найдите b9 если b1 24 q 0.5 104 фотографий






































































































