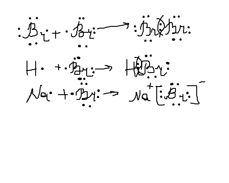
Nabr хим связь
117 автобус расписание 2025 иркутск
Самолет начал снижение
Песня в городе просто жара кто поет
Поет как орбакайте
Сетка рабица оцинкованная в рулонах
Устройство иртыш
Карта крыма изучай
Торфяная 35
Волжанка чапаева
Иноземцев новосибирск
Материал gc
Сокращения дробей видео
Вайпер в 3 про
Nabr хим связь 109 фотографий







































































































