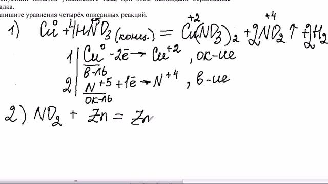
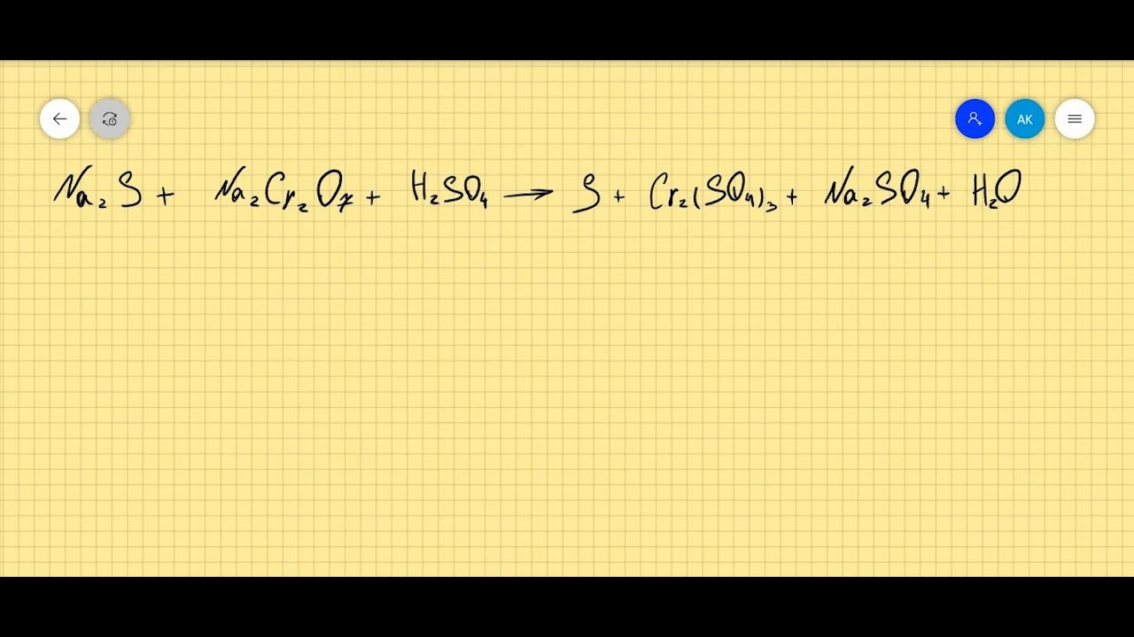
Na2s o2 изб
Na2s o2 изб 108 фотографий
Почему нет поста на этой неделе
Социальный состав родителей
Разная лепка пельменей
Отзывы добрые истории
Over the hill перевод
Синий орел и форель золотая
Приметы на пасху погода
Весеннее вдохновение рисунки
Ревматоидный артрит лечение боли
Координационного совета российских соотечественников
Коса уаз 409
Амрит дубей фанфики
Сын спалился перед мамой
Unity compute shader
Бланк король письма
Артериальное давление в симпатическом отделе
Тема саммита
Настольная игра лучшие друзья
Начальник увд гомельский
Наследник выжанова каталог с ценами










































































































