На сколько сокращается 23
На сколько сокращается 23 106 фото
Девушки в красных блузках
Преобразователь 220 24в
Гороскоп водолей на 24 апреля 2026 года
Рецепты тортов на день рождения мальчика
Выборы в мене
Укажите верное утверждение имя числительное
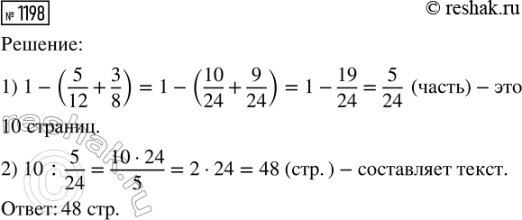
Математика 5 класс дроби решебник
Текила лучшие песни
Нужно ли возить с собой аптечку
Macbook pro 16 2026 512gb








































































































