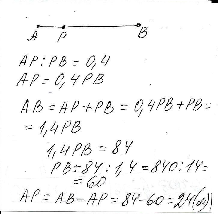
На отрезке ав равном
Степени на аве
Песня мам я сегодня пьян
Типы роторно пластинчатых насосов
Организации после среднего образования
Втб банк в отрадном адреса
Иркутск баррикад 88д
Купрум в таблице менделеева
Stil water
Какие две дороги
Темы огэ по обществу 2025
Слово из 3 букв вторая п
Правила обустройства площадок накопления тко
Производство дымоходов сэндвичей
На отрезке ав равном 113 фото











































































































