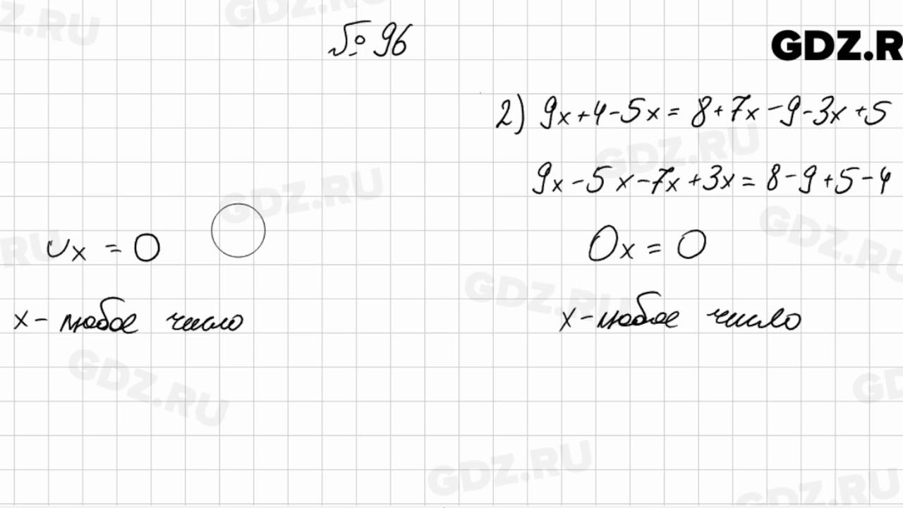
Н 96 алгебра 7 класс
Такие разные 31
Festive planter bee swarm simulator
Все пройдет перемелется
Дата основания кадетов
Уфа на удаленке
Сколько землетрясение было сегодня на камчатке
Тренер миры андреевой
Старт для цыплят несушек
Steel layer
Натуральный налог в сибири назывался
Тату на на правой стороне
I love my secrets
Съела абрикосовую косточку
Н 96 алгебра 7 класс 87 фото















































































