Муравина Гдз 7

Муравина Гдз 7
Гдз Класс Байкова Учебник 1 Часть
Решебник По Математике 6 Класс
Готовые Домашние Задания 2 Класс
Дидактика По Математике 5 Класс Чесноков Гдз
Гдз Физика 9 Класс Самостоятельные Работы
Решебник Английский Язык Сборник Упражнений 4 Класс
Гдз Алгебра Абылкасымова Седьмой Класс
Гдз По Географии 7 Учебник Коринская
Гдз 6 Математика Сборник
Гдз Атанасян 7 9 2014
Гдз По Английскому Языку По Новому
Найти Гдз 4 Класс
Гдз По Английскому 9 Класс Ларионова Учебник
Гдз По Математике 5 Класс Номер 48
Французский Решебник 7 Класс
Решебник Раб Тетр Русский Иванов
Гдз 3 Класс Канакин
Гдз По Химии 8 Габриелян Остроумов
Решебник По Математике Захаровой 3 Класс
Гдз Лол По Русскому Языку 5 Класс
Гдз Дидактический Материал Комиссарова 2
Гдз По Немецкому 7 Аверин Тетрадь
Русский Язык 3 Романова Гдз
Гдз По Математике 1 Класс 82
Гдз Русский Язык 10 Класс Гольцова Шамшин
Гдз По Английскому Языку 8 Дули
Химия 8 Кузнецова Решебник
Гдз От Путина Русский Язык 8 Класс
Гдз Окружающий Мир 3 Рабочая
Гдз По Математике 5 Класс Тишкова
Гдз По Математике 6 Класс Виленкин 2008
Гдз Английский Язык Страница 58
Л С Атанасян Гдз 7
Алгебра 9 Колягин Учебник Гдз
Решебник По Русскому 7 Пименова
Гдз Окружающий Мир 3 Класс Учебник
Гдз По Матике 5 Класс
Гдз Дидактические Материалы 3 Класс Русский Язык
Гдз Тетрадь Богданова 9 Класс
Гдз По Математике 2 Часть Волкова
Гдз По Алгебре 9 Класс Мерзляк Рт
Решебник По Тренажеру 6 Класс
Алгебра Начало Математического Анализа 10 Класс Гдз
Гдз По Алгебре 7 Класс Дрофеев Суворов
Гдз Информатика Рабочая Тетрадь 2 Часть
Гдз По Физике 7 Класс Перышкин Синий
Гдз По Алгебре 8 Клаас Мерзляк
Родная Литература 6 Класс Учебник Гдз
Гдз Спотлайт 11 Перевод
Гдз Английский 2 Класс Биболетова
Львовы Решебник 7 Класс
Гдз Путина 4 Класс Русский Тетрадь
Гдз Пятый Класс Мерзляков
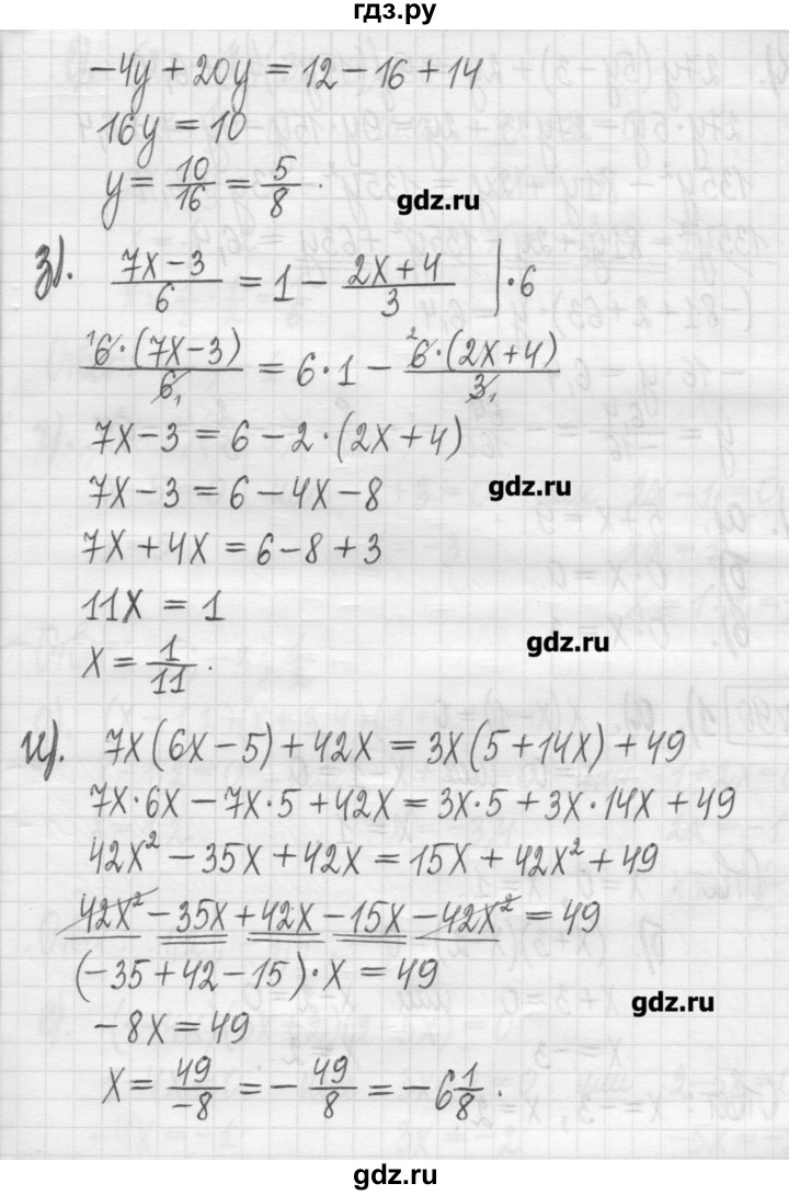
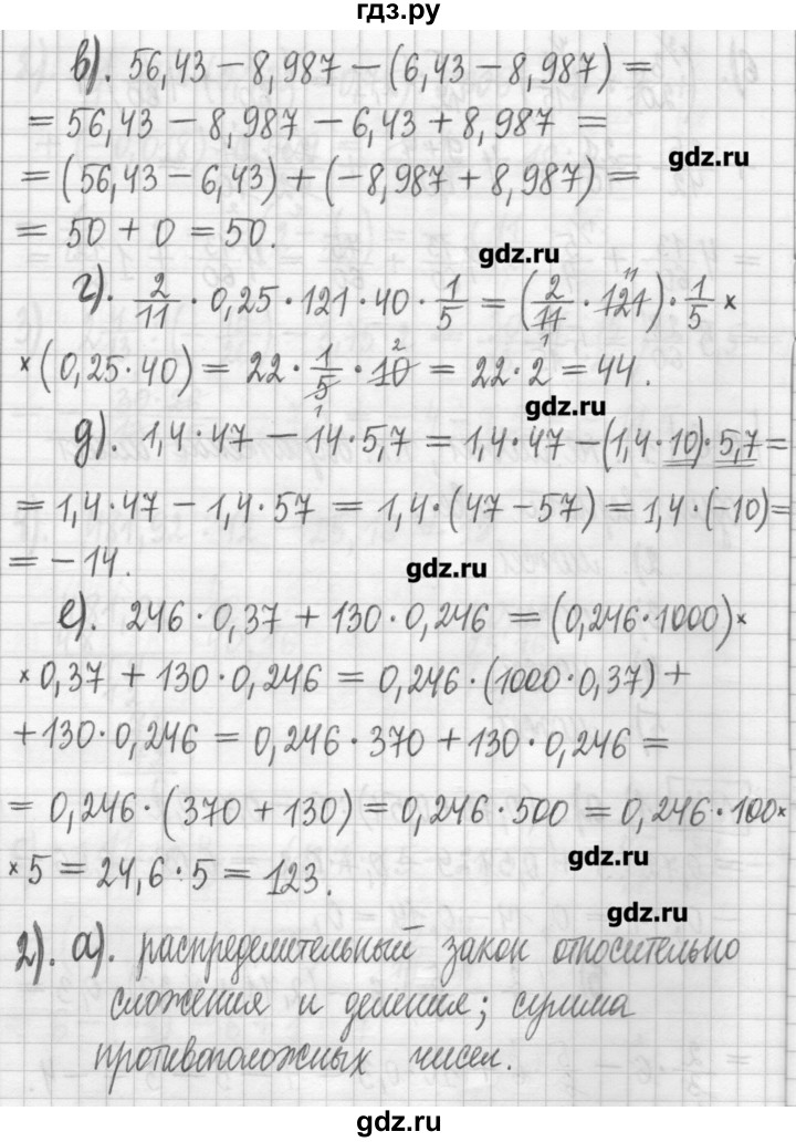
ГДЗ : готовые ответы по алгебре за 7 класс, решебник Муравин Г .К ., часть 1, 2 онлайн решения на GDZ .RU .
авторы: Г . К . Муравин , К . С . Муравин , О . В . Муравина . Алгебра – это наука, знание которой необходимо в повседневной жизни, в узкоспециализированных профильных областях .
ГДЗ по алгебре 7 класс Муравин является хорошим помощником при подготовке д/з, позволяет сэкономить время на его проверке, а так же будет полезен при повторении материала .
ГДЗ по алгебре 7 класс Г . К . Муравин . Тип: Учебник . Авторы: Г . К . Муравин , К . С . Муравин , О . В . Муравина . Издательство: Дрофа . В седьмой год начинается исследование алгебры .
Много времени занимает выполнение домашнего задания ? Не отчаивайтесь, воспользуйтесь ГДЗ по алгебре за 7 класс Муравин . Оно поможет уяснить, что такое математический язык . .
ГДЗ решебник рабочая тетрадь «Алгебра . 7 класс» Г . К . Муравина , О . В . Муравиной часть 1 Используя в своей работе решебник ГДЗ с сайта ЯГДЗ, можно упростить себе процесс решения . .
В решебнике представлены ответы на номера учебника Гдз по алгебре 7 класс Муравин Муравин Глава 2 . Функция . § 3 . Функции и способы их задания… .52 .
7 класс» Г . К . Муравина , О . В . Му -равиной , который включает: • учебник «Алгебра . 7 класс»; • электронное приложение к учебнику (разме-щено на сайте www .drofa .ru); • рабочую программу . .
Смотрите и спишите готовые ответы за 7 класс к учебнику Муравина , Муравиной . Кроме того в ГДЗ присутствуют задачи из тестов, зачета и устной работы .
авторы: Г . К . Муравин , К . С . Муравин , О . В . Муравина . ГДЗ по Алгебре для 7 класса . Содержит правильные ответы на все упражнения и номера из учебного издания автора: Г . К . .
Для того чтобы просматривать гдз Алгебра 7 класс Г .К . Муравин , К .С . Муравин , О .В . Муравина прямо на уроке с мобильного устройства Вам не нужно проходить длительную процедуру . .
ГДЗ 6 класс Математика Муравин , Муравина Номер №7 . Задача №7 , ГДЗ по математике за 6 класс к учебнику Муравина .
Готовое Домашнее Задание (ГДЗ - решебник) по Алгебре 7 класс Муравин ФГОС - Ваша домашняя работа на 5+ .
Выберите нужную страницу с уроками, заданиями (задачами) и упражнениями из учебника 7 класса по алгебре (математике) — Муравин Муравина . Онлайн книгу удобно смотреть (читать) . .
Листая учебное пособие влево-вправо, легко найти главы и параграфы с упражнениями (тестами, заданиями, задачами) .
Муравин Г .К ., Муравина О .В . Издательство: Дрофа . На этой странице размещен вариант решения заданий с страницы 7 к рабочей тетради часть 1 по алгебре за 7 класс авторов . .
г, к . Муравин , К . С . Муравин , О . В . Муравина АЛГЕБРА Vf 32Sc к . Муравин, К . С с двумя переменными и их системы 44 Глава 2 . Функция § 3 . Функции и способы их задания .
ГДЗ к РТ по алгебре за 7 класс . На этом сайте размещены ГДЗ к рабочей тетради по алгебре за седьмой класс авторов Муравин Г .К ., Муравина О .В . года выпуска .
Авторы: Муравин Г .К ., Муравин К .С ., Муравина О .В .», что облегчит выполнение домашних заданий, повторение пройденного материала и поможет самостоятельно разобраться в . .
Вот и прочти Алгебра 7 класс Муравин здесь: это интересно: Категория: Учебники 7 класс бесплатно Сергей Квит ко . Описание учебников, ГДЗ и книг на русском языке .
ГДЗ : готовые ответы по алгебре за 7 класс, решебник Муравин Г .К ., часть 1, 2 онлайн решения на GDZ .RU .
авторы: Г . К . Муравин , К . С . Муравин , О . В . Муравина . Алгебра – это наука, знание которой необходимо в повседневной жизни, в узкоспециализированных профильных областях .
ГДЗ по алгебре 7 класс Муравин является хорошим помощником при подготовке д/з, позволяет сэкономить время на его проверке, а так же будет полезен при повторении материала .
ГДЗ по алгебре 7 класс Г . К . Муравин . Тип: Учебник . Авторы: Г . К . Муравин , К . С . Муравин , О . В . Муравина . Издательство: Дрофа . В седьмой год начинается исследование алгебры .
Много времени занимает выполнение домашнего задания ? Не отчаивайтесь, воспользуйтесь ГДЗ по алгебре за 7 класс Муравин . Оно поможет уяснить, что такое математический язык . .
ГДЗ решебник рабочая тетрадь «Алгебра . 7 класс» Г . К . Муравина , О . В . Муравиной часть 1 Используя в своей работе решебник ГДЗ с сайта ЯГДЗ, можно упростить себе процесс решения . .
В решебнике представлены ответы на номера учебника Гдз по алгебре 7 класс Муравин Муравин Глава 2 . Функция . § 3 . Функции и способы их задания… .52 .
7 класс» Г . К . Муравина , О . В . Му -равиной , который включает: • учебник «Алгебра . 7 класс»; • электронное приложение к учебнику (разме-щено на сайте www .drofa .ru); • рабочую программу . .
Смотрите и спишите готовые ответы за 7 класс к учебнику Муравина , Муравиной . Кроме того в ГДЗ присутствуют задачи из тестов, зачета и устной работы .
авторы: Г . К . Муравин , К . С . Муравин , О . В . Муравина . ГДЗ по Алгебре для 7 класса . Содержит правильные ответы на все упражнения и номера из учебного издания автора: Г . К . .
Для того чтобы просматривать гдз Алгебра 7 класс Г .К . Муравин , К .С . Муравин , О .В . Муравина прямо на уроке с мобильного устройства Вам не нужно проходить длительную процедуру . .
ГДЗ 6 класс Математика Муравин , Муравина Номер №7 . Задача №7 , ГДЗ по математике за 6 класс к учебнику Муравина .
Готовое Домашнее Задание (ГДЗ - решебник) по Алгебре 7 класс Муравин ФГОС - Ваша домашняя работа на 5+ .
Выберите нужную страницу с уроками, заданиями (задачами) и упражнениями из учебника 7 класса по алгебре (математике) — Муравин Муравина . Онлайн книгу удобно смотреть (читать) . .
Листая учебное пособие влево-вправо, легко найти главы и параграфы с упражнениями (тестами, заданиями, задачами) .
Муравин Г .К ., Муравина О .В . Издательство: Дрофа . На этой странице размещен вариант решения заданий с страницы 7 к рабочей тетради часть 1 по алгебре за 7 класс авторов . .
г, к . Муравин , К . С . Муравин , О . В . Муравина АЛГЕБРА Vf 32Sc к . Муравин, К . С с двумя переменными и их системы 44 Глава 2 . Функция § 3 . Функции и способы их задания .
ГДЗ к РТ по алгебре за 7 класс . На этом сайте размещены ГДЗ к рабочей тетради по алгебре за седьмой класс авторов Муравин Г .К ., Муравина О .В . года выпуска .
Авторы: Муравин Г .К ., Муравин К .С ., Муравина О .В .», что облегчит выполнение домашних заданий, повторение пройденного материала и поможет самостоятельно разобраться в . .
Вот и прочти Алгебра 7 класс Муравин здесь: это интересно: Категория: Учебники 7 класс бесплатно Сергей Квит ко . Описание учебников, ГДЗ и книг на русском языке .



















