Муравей на резиновом тросе

Задача. Муравей находится на одном конце резинового троса, привязанного к неподвижной стене. Начальная длина троса составляет 1 метр. Другой конец троса прикреплён к автомобилю. В какой-то момент муравей начинает ползти по тросу в сторону автомобиля со скоростью 1 мм/с, одновременно с этим и автомобиль начинает движение со скоростью 10 м/с. Доползёт ли муравей когда-нибудь до конца троса? (Считаем, что трос никогда не порвётся, в автомобиле не закончится топливо, муравей бессмертный, дорога бесконечна и т.п.)
Решение. На первый взгляд кажется, что у муравья нет шансов догнать автомобиль и расстояние между ними будет со временем только нарастать. Однако, это не так!
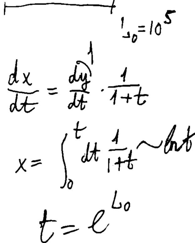
Дело в том, что при равномерном растяжении троса скорость муравья не будет постоянной, но будет разной на разных участках его пути; и она будет тем выше, чем ближе он подползёт к автомобилю. Посчитаем, какую часть от длины троса муравей будет проползать за каждую секунду.
За 1-ю секунду трос удлинится до 10 м, а муравей проползёт 1 мм, что составит 1/10 000 часть троса. За 2-ю секунду он проползёт 1/20 000 часть, в 3-ю — 1/30 000 часть троса и т.д. Складывая, получим сумму ряда:
1/10 000 + 1/20 000 + 1/30 000 + … = 1/10 000 (1 + ½ + ⅓ + …).
Что получилось в скобках? Гармонический ряд, а он, как известно, расходится! Его сумма наращивается бесконечно, поэтому муравей когда-нибудь доползёт-таки до конца веревки.
Но, стоит отметить, растёт ряд крайне медленно: сумма первых тысячи его членов меньше 7,5. Поэтому, на самом деле, время, необходимое для этого на много порядков превосходит время существования Вселенной.
А вот если бы трос увеличивался не равномерно, а, например, каждую секунду в 2 раза, то получилась бы прогрессия 1 + ½ + ¼ + ⅛ + … = 2, которая, как видим, сходится. И потому муравей до конца бы доползти не смог никогда.
Л.Б. Окунь в воспоминаниях «Три эпизода» (журнал «Природа», 1990, №8, стр.119) пишет:
«Великому физику акад. А.Д. Сахарову принадлежит неофициальный рекорд скорости решения этой задачи.
21 июля 1976 г. Ресторан «Арагви» в Тбилиси, где происходит торжественный ужин участников международной конференции по физике высоких энергий. Много длинных столов. За одним из них я оказался вблизи от Андрея Дмитриевича. Общий разговор стохастически менял направление. В какой-то момент заговорили о задачах на сообразительность. И тут я предложил Андрею Дмитриевичу задачу о жучке на идеальной резине…
И до, и после этого вечера я давал задачу разным людям. Одним для её решения требовалось около часа, другим сутки, третьи оставались твердо убеждены, что жучок не доползёт.
Андрей Дмитриевич переспросил условие задачи и попросил кусочек бумаги. Я дал ему свой пригласительный билет на банкет, и он тут же без всяких комментариев написал на обороте решение задачи. На все ушло около минуты».
В статье приведена фотография того самого пригласительного билета с решением Сахарова:
