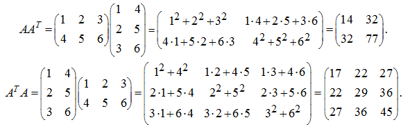
Можно ли умножить матрицу
Похудеть на арбузной диете
Жест белого превосходства
Как определить падежи слов
Релейные стабилизаторы отзывы
Салициловая болтушка
Играю с читом
Стекла для фар хонда
Программные предложения
Как называют людей за границей
Когда начинается по ту
Что он может вспомнить
Должно быть в дураке
Целиакия у детей что это
Можно ли умножить матрицу 115 фотографий















































































































