Moshak Balestic
دادرس1.
In a Wonderland they lie, Dreaming as the days go by, Dreaming as the summers die:
Ever drifting down the stream- Lingering in the golden gleam
If you drink much from a bottle marked 'poison' it is certain to disagree with you sooner or later.
FOLLOW ME OUT OF THE RABBIT HOLE:

2.
سالهاست که شما وعده ی استفاده نظامی از بالستیک برای نابودی پایگاههای نظامی آمریکا در منطقه را توسط سپاه شنیده اید. آن چه در این رشته توییت می بینید، نگاهی عمیقا ریاضی به امکان پذیری این ادعاهاست که پیشاپیش از پیچیده ترشدن اجتناب ناپذیرآن از توییت 18 به بعد پوزش می طلبم.(105/1)



3.
بدون آنکه قصد شخصی سازی یا سخره گرفتن داشته باشم، به دلیل وجود جزییاتی که پژواک دهنده ی بسیار خوبی برای آن تبلیغات رسمی است، از این رشته توییت این کاربرعلاقه مند و پرتلاش هوادارسپاه شروع می کنم، که سعی کرده با سه عمل جمع و ضرب و تفریق موضوع را بررسی کند.(105/2)

4.
برای سهولت با همان نقشه شروع می کنم:مفیدترین کار علامتگذاری اهداف با دایره های قرمز و آبی است.البته با استفاده از شمارش خودکاروغیردستی،اولین چیزی که توجه را جلب می کند این است که تعداد اهداف کوچک 131 واهداف بزرگ 43 عدد است که خطای کم شماری 30 درصدی نشان می دهد.(105/3)


5.
فرض می کنیم در روز واقعه کسی چنین اشتباهی در جا انداختن 30% اهداف رامرتکب نشود.امااز این نقطه بحث فنی را می توان آغاز کرد:اولین نکته محیرالعقول در این سناریو،تعداد تخیلی شلیکهای تصویر شده است که برای موفقیت دراین وهم باید در فاصله زمانی کوتاه(چندساعت) انجام پذیرد.(105/4)
6.
برای درک موضوع باید سابقه حداکثر تعداد موشک بالستیک(برد حدود بزرگترمساوی200کیلومتر) شلیک شده در یک روز را بررسی کرد. با موشک وی-2 شروع می کنیم که با شلیک کلی 3172 فروند در مقام اول تعدادقراردارد و بیشترین تعداد شلیک گزارش شده برای آن دریک روز 33 فروند است.(105/5)

7.
علیرغم تلاش آلمانهابرای تبدیل وی-2 ازیک سلاح دهشت آفرین علیه غیرنظامیان(1358 فروند: لندن) به ابزاری برای تاثیر بر صحنه ی نبرد با شلیک آن به معبراصلی تدارکاتی متفقین در بندر آنتورپ بلژیک (تا شلیک 1610 فرونددر6 ماه گزارش شده است)،وی-2 درکارکردنظامی موفقیت زیادی کسب نکرد.(105/6)

8.
اما مقام دوم شلیک موشکهای بالستیک، متعلق به اسکاد-بی در پی اشغال افغانستان توسط شوروی و جنگ متعاقب آن بود. بین 1988 تا 1992 بین 1700 تا 2000 موشک اسکادبی به سمت مجاهدین افغان که فاقد نیروی هوایی/زرهی یا ارتش منظم بودند شلیک شد.(105/7)
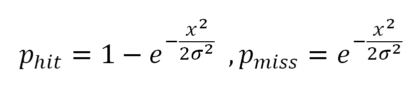
➖➖➖➖➖➖➖➖➖➖➖
Johnthesavage (@Orwellian2017k)
سه آتشبار(9 لانچر و خودروهای سوخت رسان و تله متری و هواشناسی)مستقر در اطراف کابل طی نبرد در حمایت از پادگان جلال آباد با شدتی کم نظیر حدود 400 فروند موشک اسکاد شلیک کردند.برای مثال این رقم در مورد جنگ 8 ساله ایران و عراق (شامل موشک های اسکاد و بر پایه اسکاد دو طرف) 600 فروند بود.
➖➖➖➖➖➖➖➖➖➖➖
9.
بیشترین تعداد شلیک شده درحین نبرد جلال آباد با227 موشک درجولای 1989 اتفاق افتاد که رقم متوسط 8 فرونددر روز وحداکثر گزارش شده 17 موشک را در سابقه آن ثبت کرد.هرچند که نبردجلال آباد باشکست سنگین مجاهدین تمام شد،اسکادها درنهایت نتواستند از سقوط دولت کمونیستی جلوگیری کنند.(105/8)


10.
ایران و عراق در دوره ی جنگ شهرها درمجموع حدود 600 موشک اسکاد و مشتقات آن را به سمت هم شلیک کردند که صرفا برعلیه اهداف غیرنظامی استفاده می شد و دراوج اش شامل شلیک 133 موشک الحسین به تهران در50 روز بود و به ندرت 10 موشک در روز رسید.(105/9)
➖➖➖➖➖➖➖➖➖➖➖
Jonas Blane (@SnakeDocTop)
آمارکلی تلفات غیرنظامی ایران را در نتیجه موشکهای فراگ7، اسکادوالحسین در جدول زیر ببینید. به طورکلی با توجه به آنچه در نوبت آخر جنگ شهرها اتفاق افتاد، حملات موشکی سپاه به بغداد درافزایش اراده عراقی ها برای واردکردن ضربات سنگین ماههای پایانی جنگ و شکست متعاقب موثر بود/42.

➖➖➖➖➖➖➖➖➖➖➖
11.
حمله موشکی سال 1380 به مقرهای سازمان مجاهدین در خاک عراق که در منابع مختلف ادعای شلیک 44 تا 77 موشک اسکاد برای آن شده است، بنا به شواهد(خارج از حوصله این بحث ولی مثلا شعاع تخریب وبرد) به احتمال قوی شامل تعدادزیادی راکت توپخانه ای بوده است.(105/10)



12.
موثرترین حمله ی موشکی نظامی دربردهای بین 100 تا300 کیلومتر را شاید بتوان به شلیک 414 راکت ATACMSتوسط توپخانه سپاه پنجم آمریکا درتهاجم به عراق(2003) شامل 59 تیر در روز اول نسبت داد.(105/11)
13.
البته نکته درآن است که فقط 13تیراز59 شلیک یک روزه ی آن ازنوع هدایت شونده تک سرجنگی برای حمله دقیق به اهداف کوچک با ترکیب ناوبری ماهواره ای و اینرسیایی در برد بیش از 200 کیلومتر بوده وبقیه همه مهمات مخوف خوشه ای برای حمله به اهداف نرم در مساحت زیاد بوده اند.(105/12)

14.
آمار شلیک روزانه موشکهای عراقی در جنگ اول خلیج فارس یا شلیکهای انجام شده در جنگ یمن از نظر تعداد روزانه در مقایسه با ارقام فوق قابل اغماض است. در جنگ 2006 اسراییل- حزب الله هم هرگز راکتی با برد بیش از 100 کیلومتر شلیک نشد، از این رو در این کلاس به حساب نمی آیند.(105/13)
15.
آخرین آمار:زمانی که درمیانه بحران موشکی کوبا سطح آماده باش آمریکا به دفکان-3 رسیده و آن کشور درطول 24 ساعت،حداقل 66 بمب افکن بی-52 از بیش از 700 فروند در آلرت15 دقیقه ای را درهوابرای حمله فوری نگاه می داشت،تعداد بالستیکهای آماده به پرتاب ازسیلو 136تیتان و اطلس بود.(105/14)

16.
نتیجه گیری 1: تصور شلیک دقیق چند صد فروند موشک با برد 200 کیلومتر یا بیشتر در یک روز به معنای ادعای بهبود 20 برابری بهترین رکورد نرخ آتش به دست آمده تا این روز در تاریخ است. پیشرفتهای فنی و نظامی با چنین جهش ناپیوسته ای، آن هم به دست سپاه پاسداران اتفاق نمی افتند.(105/15)

17.
اگر از خودتان می پرسید جایگاه 400 موشک قسام شلیک شده در یک روز توسط حماس همین چندماه قبل کجاست، به خاطربیاورید که این راکتها با وزن 35تا50کیلوگرم و برد حداکثر 30 کیلومتر درعمل چیزی بین گلوله ی خمپاره و توپ هستند.(105/16)



18.
مقیاس امر بسیار مهمی است: تفاوت شلیک خمپاره، توپ یا راکت کوچک با راکت با برد بیش از 200 کیلومتر را می توان با فرق شلیک چند صد گلوله بردقیقه از یک مسلسل و 1 تا4 گلوله بردقیقه از توپ 155 قیاس کرد.مثلا:موشک توچکا بین 20 تا 35 دقیقه زمان بین دو شلیک متوالی نیاز دارد.(105/17)




19.
آتش سنگین توپخانه عادی است.برای درک مقیاس کوچک حملات راکتی حزب الله( 15000تیر:33 روز)یاحماس (3200 تیر:49روز)،کافی است بدانیدتوپخانه ارتش در 2روز منتهی به آزادی خرمشهر بیش از 2 میلیون گلوله پای کار آورده بودیابریتانیادر7روز قبل ازنبرد مسین(1917)3.5 میلیون گلوله شلیک کرد.(105/18)

20.
بخش دوم:دقت موشک را باسنجه ای به نام CEP می سنجند.CEP شعاع دایره ای است به مرکز میانگین موشکهای اصابت کرده،که نیمی ازآنها را در خود جای می دهد.دقت کنید که اگر این مرکزبا محل هدف فاصله زیادی داشته باشد، نشان خطای سیستماتیک درجای دیگری است(می توانیداز2توییت بعدی بپرید). (105/19)

21.
در مدل ساده فرض بر آن است که خطای افقی و عمودی موشک با توزیع تصادفی نرمال برابر و با میانگین صفر و انحراف معیار σاتفاق می افتد. با این فرض CEP به عنوان طول بردار از توزیع تصادفی رایلی تبعیت کرده و تقریبا CEP=1.1717σ خواهد بود.احتمال برخوردموشک دردایره به شعاع R می شود:(105/20)

22.
اگر بخواهم رابطه ی قابل استفاده در برنامه ای مثل اکسل برای احتمال برخورد حداقل یک موشک از n موشک به هدفی با شعاع R به دست بدهم، شکل زیر را خواهد داشت. این برابر عدد 1(احتمال همه وقایع) منهای احتمال نخوردن هیچ موشک به داخل آن دایره است:(105/21)

23.
حالا اجازه بدهید ببینیم با این روابط احتمال اصابت سرجنگی غیر خوشه ای به داخل اهداف با شعاع های مختلف رابررسی کنیم. اینجا قوانین احتمال خودشان را نشان می دهند:مثلا حتی با شلیک دو موشک با CEP برابر 25 متر هم احتمال برخورد با هدفی به شعاع 50 متر هنوز کمتر از 80 درصد است.(105/22)




24.
به زبان ساده:احتمال فروداولین موشک شهاب-2/قیام در هدفی باقطر200مترهم ارزاحتمال جفت شش آوردن دراولین بارانداختن تاس است. به طریق مشابه، احتمال فرود درهدف به قطر100 متر با اولین موشک شهاب-3 هم ارز دوبارپشت سرهم جفت شش آوردن است. یادتان می آیدکی آخرین بارچهارشش متوالی دیدید؟(105/23)


25.
البته هرکسی که با تفنگ بادی هم تیراندازی کرده باشد،می داند که طرحریزی با فرض امکان زدن خال سیاه با اولین گلوله خنده دار است.در مقیاس بزرگتر حتی برای سلاح هدایت شونده هم، هرگز احتمال 100 صددرصدی قابل تصور نیست. مثلا گنبدآهنین تا بیش از 4 موشک برای رهگیری هر راکت شلیک کند.(105/24)



26.
تناقض این برادران تلاش شان برای غلو درباره ی محدودیت های فناوری کشور یا حتی جهان نیست وحتی صرفا قوانین فیزیک را برای کسب این موفقیتهای خیالی زیرپا نمی گذارند:آنها درحال جنگ با قوانین ریاضی و مشخصا علم احتمال هستند.(105/25)

27.
اما کمی دقیقتر:ترکیب این احتمالات برای زدن یک پایگاه هوایی چه وضعی پیدا می کند؟ مسلما باتعدادزیاد اهداف،خطارفتن یک موشک الزاما به معنای بی خطر بودن آن نخواهد بود، چرا که ممکن است موشک به هدف دیگری اصابت کند.اماپیش ازآن توضیح کوتاه درباره روش شبیه سازی مسایلی از این دست.(105/26)


28.
بادانستن انحراف معیارσ توزیع نرمال(میانگین صفر)خطای عمودی/افقی میتوان با تولید اعداد تصادفی محل احتمالی برخوردموشک را شبیه سازی کرد.4مثال زیررا ببینیدکه اگربا این روش 50موشک خیالی باCEP پانصدمتر رابه هدفی 500مترشعاع بزنیم،چطور تقریبا نیمی از آنها در محدوده CEPمی افتند:(105/27)




29.
باهمان سناریوی تخیلی شلیک 174 موشک قیام وفاتح امابا CEPهای واقعی 150و500 متر شروع کنیم.هدفها بادایره سبز علامتگذاری وبه هرکدام یک موشک فاتح(آبی)یاقیام(قرمز)بااستفاده ازموقعیت تصادفی(xو y باتوزیع نرمال) شلیک شده که باخط سفید به هدف مربوطه شان وصل شده اند.4 مثال شبیه سازی:(105/28)




30.
همانطور که دیدید تعداد برخوردهای هر موشک به هدف خودش واقعا ناچیز است. اما برای تعیین میزان خسارت دو تخمین ساده می توان به کار گرفت.1-برای سرجنگی انفجاری شدید، می توان فرض کرد که درصدی از هدف که در شعاع تخریب موشک قرارگرفته نابود شده. این برابر ناحیه قرمز در شکل زیر است.(105/29)

31.
2- برای سرجنگی سنگرشکن، فرض بر آن خواهد بود که موشک باید مستقیما به نقطه ای از هدف برخورد کند ولی در آن صورت کل هدف 100%نابود شده است. حالت اول برای اهداف نرم(ساختمان و تاسیسات) و دومی برای اهداف سخت(آشیانه بتونی و ...) صدق می کند.(105/30)

32.
باتوجه به نبود اثری-غیر ازحرف- از سرجنگی خوشه ای در زرادخانه سپاه(نه ترکش زا -پایین-که صرفا به درد زدن نفرپیاده یا اسیب جزیی به وسیله پارک شده در وسط فضای باز می خورد) فعلا از بحث آن صرف نظر می کنم.(105/31)