Многие терпеть не могут модуль
Александр ИвановНенадолго вернемся к предыдущему соображению. Один мой друг (кстати, выпускник мехмата и практикующий программист), прочитав то место в соображении 12, где я сделал заявление, что корень из четыре – это два, а не плюс-минус два, сообщил: «Слушай, я точно помню, в школе говорили, что корень из четырех – плюс минус два».
Пришлось объяснить, что не только он – мой друг, но и громадное количество школьников, делает подобную типичную ошибку, путая корни (решения) квадратного уравнения и значение квадратного корня (Рис.1):

Видя, что мое пояснение не очень сильно приободрило моего друга, а он человек впечатлительный, пришлось рассказать истории о другом нашем друге - докторе наук «А» - правильном докторе правильных физико-математических наук, который ровно в аналогичной ситуации допустил ровно такое же неверное суждение.
А еще пришлось добавить: «Это ладно, есть еще один доктор физико-математических наук - популярный блогер-популяризатор математики, называет себя член-корреспондентом. Он как-то раз в прямом эфире решал простое школьное задание по математике и выдал типичную ошибку 90% процентов школьников. Написал неверное соотношение (Рис.2):

Вместо того, чтобы написать (Рис.3):

Все приведенные выше замечания – это иллюстрации следующих простых фактов:
1. «Зевнуть» может любой. Если что-то не используется, это что-то моментально вылетает из головы;
2. Если даже профессионалы могут приврать на пустом месте, то для школьника, который готовится к экзамену по математике, будет полной глупостью не повторять темы, пройденные год, два, три назад, пытаясь «натаскаться» на конкретные задания.
3. «Что же мы видим, товарищи? Мы видим, что вот тот блондин играет хорошо, а этот брюнет играет плохо. И никакие лекции не изменят этого соотношения сил, если каждый индивидуум в отдельности не будет ежедневно, ежечасно и ежесекундно тренироваться в шашки».
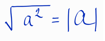
Соотношение мы выписывали в соображении 12 (Рис.4).

Сконцентрируемся на одной вещи, которую мы не разобрали. Что такое модуль? В школьной программе – всего лишь расшифровка (Рис.5):

Здесь словосочетание «всего лишь расшифровка» приведено с целью указать, что определение элементарное и должно восприниматься просто как сокращение записи., т.е. видим «палочки», изображающие модуль – сразу представляем фигурные скобки, обозначающие в данной ситуации два случая. ОЧЕНЬ ПРОСТО.
Проверьте на примере следующих двух элементарных заданий, как ваш восьми-девяти- десяти-одиннадцатиклассник реагирует на понятие «модуль».


Давайте проверим успехи.
Оба задания моментально решил восьми-девятиклассник. Хороший знак.
Восьми-девятиклассник не решил оба задания. Не слишком хорошо, но пока не критично, время еще есть.
Ученик 10-11 класса не решил хотя бы одно задание. Логично сделать вывод, что пробелы присутствуют, их величину придется определять дополнительно. Особенно нехорошо, когда не решено первое задание. В этом случае, возможно, проблемы с определением модуля, т.е. с самыми основами; может быть, фраза: «такое-то число - есть корень уравнения такого-то» остается пустым звуком; есть вариант, что человек просто не связывается с даже самыми простыми заданиями с параметром.
Ошибка во втором задании, вероятно, отсутствие представления, что корень из квадрата – это модуль. Цепочка из нескольких специально подобранных заданий позволит легко устранить этот пробел.
Ученик 10-11 класса решил оба задания моментально. К сожалению, вывод, что человек хорошо ориентируется в школьной математике, сделать пока нельзя – для такого вывода задания слишком простые.
Итак. Модуль раздражает очень многих. Фраза: «Я никогда не понимал модуль» - типовая, показывает, что человек не хочет «ловить» простейшее определение. Понятно, что одним определением дело не ограничивается, хорошо бы представлять «геометрический смысл» модуля, знать как обращаться с неравенствами «модуль больше» и «модуль меньше», как выглядит график функции «типа модуль» и как построить график функции y=|f(x)|, зная график функции y=f(x), может быть еще пару «шаблонов решения», но почти все перечисленное сразу следует из определения, хотя и требует приличной отработки навыков на конкретных примерах.
Обо все этом в следующих соображениях.