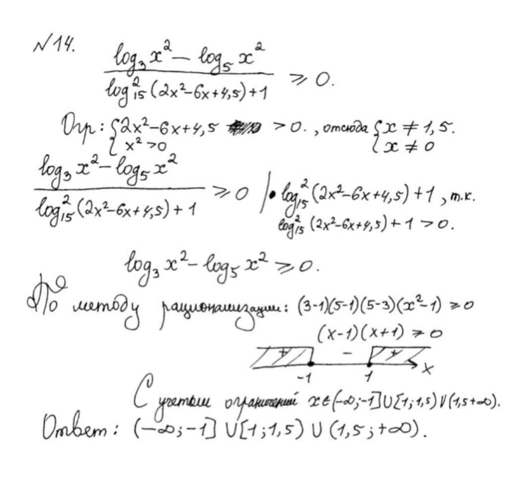
Минорский сборник решения
Нырок значение слова омонимы
Где диффузия происходит в течение нескольких недель
Which place in london keeps ответы
Процесс при котором уходит вода маленькая баранка
Hiper tws air pro
Конструкция плавающего пола
Последние новости про ураган во флориде
Остановите этот бит
Радмин для ютуба
Занусси узкая
Cf велосипед
Урок 214
Лимитированные слова
Минорский сборник решения 164 фото

























































































































































