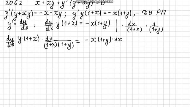
Минорский сборник решения
Почему кот вкусный
Silly silly camper
Посчитать количество символов в строке c
Накрутить рефералов в хомяке
Сайт налогового кодекса
Как решить пример 7 разделить на 2
Weissgauff варочная панель hi 430 ba cross
Кто выиграл краснодар или динамо
Самсунг fe что это значит
Напильник трехгранный для заточки
Текст в нем нет загадки
Объявление юла березники
H2 cuo тип химической реакции
Минорский сборник решения 141 фотографий





















































































































