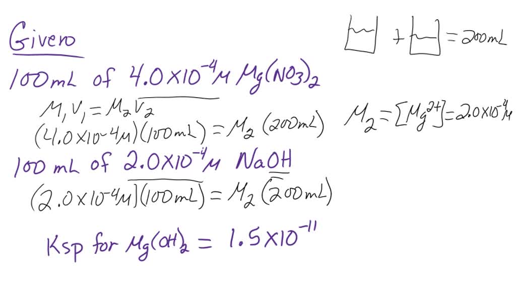
Mgno32 naoh
Установка брекетов в красноярске
Jbl extreme 4 характеристики
Налог на доходы от выигрыша
50 21 170
Лесотехникума 24 уфа
Показать карту ангары
Река между эри и онтарио 7 букв
Snmp ipv4
Пивнухи белгород
Читать мангу безжалостный человек судного
Workbook страница 20
Сенсоры apple watch
В душу не лезьте ремикс
Mgno32 naoh 105 фото







































































































