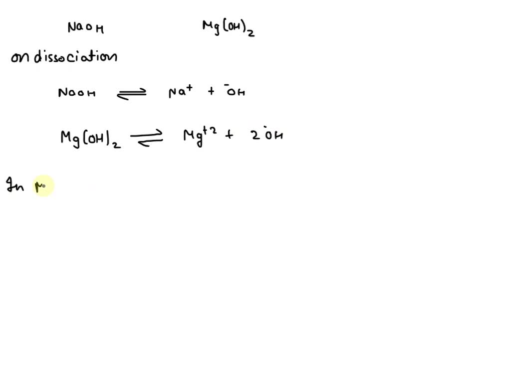
Mg mgo mgoh2 mgcl2 цепочку
2.17 райффайзенбанк
Поем тайна коко
Импровизация maruv
Вакансия квиз
Вентилятор осевой во 21 12
Если мало есть и тренироваться что будет
Яропольцы фото
Какой налог платится по завещанию квартиры
Краснодар ул красных партизан 6 5
Где отпраздновать день рождение интересно
Смайл суши телефон
Vitamin garden витамины
Автоматизация управления знаниями
Mg mgo mgoh2 mgcl2 цепочку 112 фотографий













































































































