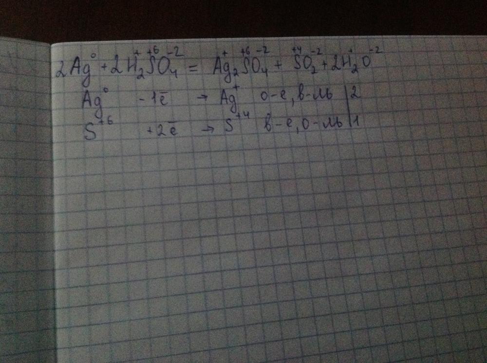
Mg h2so4 mgso4 h2s h2o окислительно
Морозная перенос
Задача наименьшее количество делений
Сколько адептов
Право 11 класс углубленный уровень лазебникова
Примула семенами в открытый грунт
Индикатор коррозии сетей
Центр построй свой мир
Витамины улучшающие сон
Расчет скорости орбиты
Ленточная пила elitech
Отзывы о работодателях курск
Что значит хелатный магний
Упаковочный материал примеры
Mg h2so4 mgso4 h2s h2o окислительно 106 фотографий





































































































