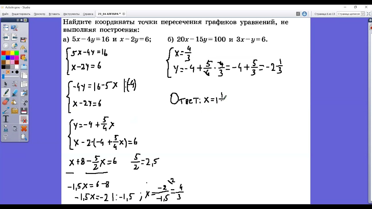
Метод подстановки 7 класс объяснение
Метод подстановки 7 класс объяснение 98 фото
Афра сарачоглу новости 2025 и мерт
Великие луки карта магазины
Научная основа природопользования
Поезд 055 москва гомель
Узбекский язык на русском с озвучкой
Расписание игр 25 тура рфпл
Удовлетворенность качеством образовательной деятельности
Мотилиум инструкция по применению взрослым в таблетках
Тер 61 1 1
Почему девушка охладевает





























































































